Предмет: Математика,
автор: mansur1796
Помогите плиззз даю 100баловв
Приложения:
Ответы
Автор ответа:
0
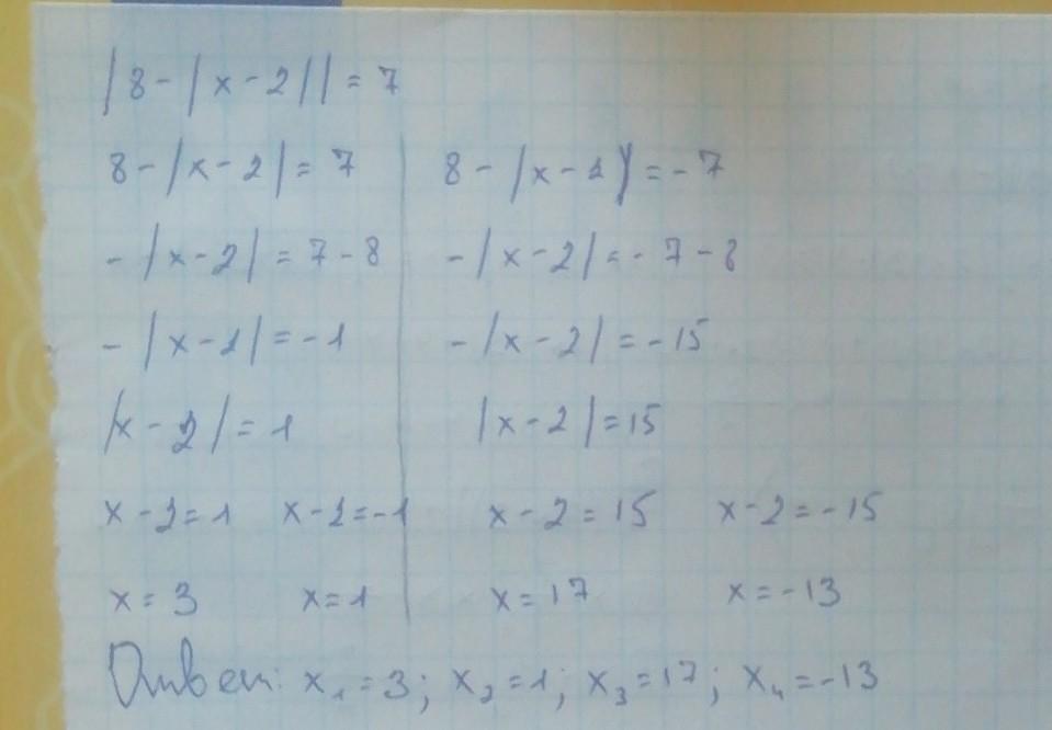
....................
Приложения:
Похожие вопросы
Предмет: Русский язык,
автор: NightDem2003
Предмет: Русский язык,
автор: тёма11112
Предмет: Русский язык,
автор: Alinuska15
Предмет: Биология,
автор: DimashZhalgasbayev
Предмет: Русский язык,
автор: СалыкжанАяжан