Предмет: Алгебра,
автор: if1158668
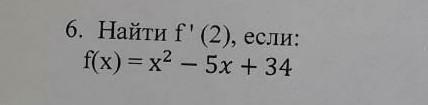
ПОМОГИТЕ ОЧЕНЬ СРОЧНО
напишите подробно
Приложения:
Ответы
Автор ответа:
1
решение на фото................................
Приложения:
Автор ответа:
0
Відповідь: - 1
Пояснення: фото
Приложения:
Похожие вопросы
Предмет: Английский язык,
автор: nasty163
Предмет: Другие предметы,
автор: milenababayan1
Предмет: Окружающий мир,
автор: арина398
Предмет: Математика,
автор: keknytayastatya
Предмет: Русский язык,
автор: ibiryukov09