Предмет: Математика, автор: nlipova17

Помогите решить примеры ,дам 35 б.
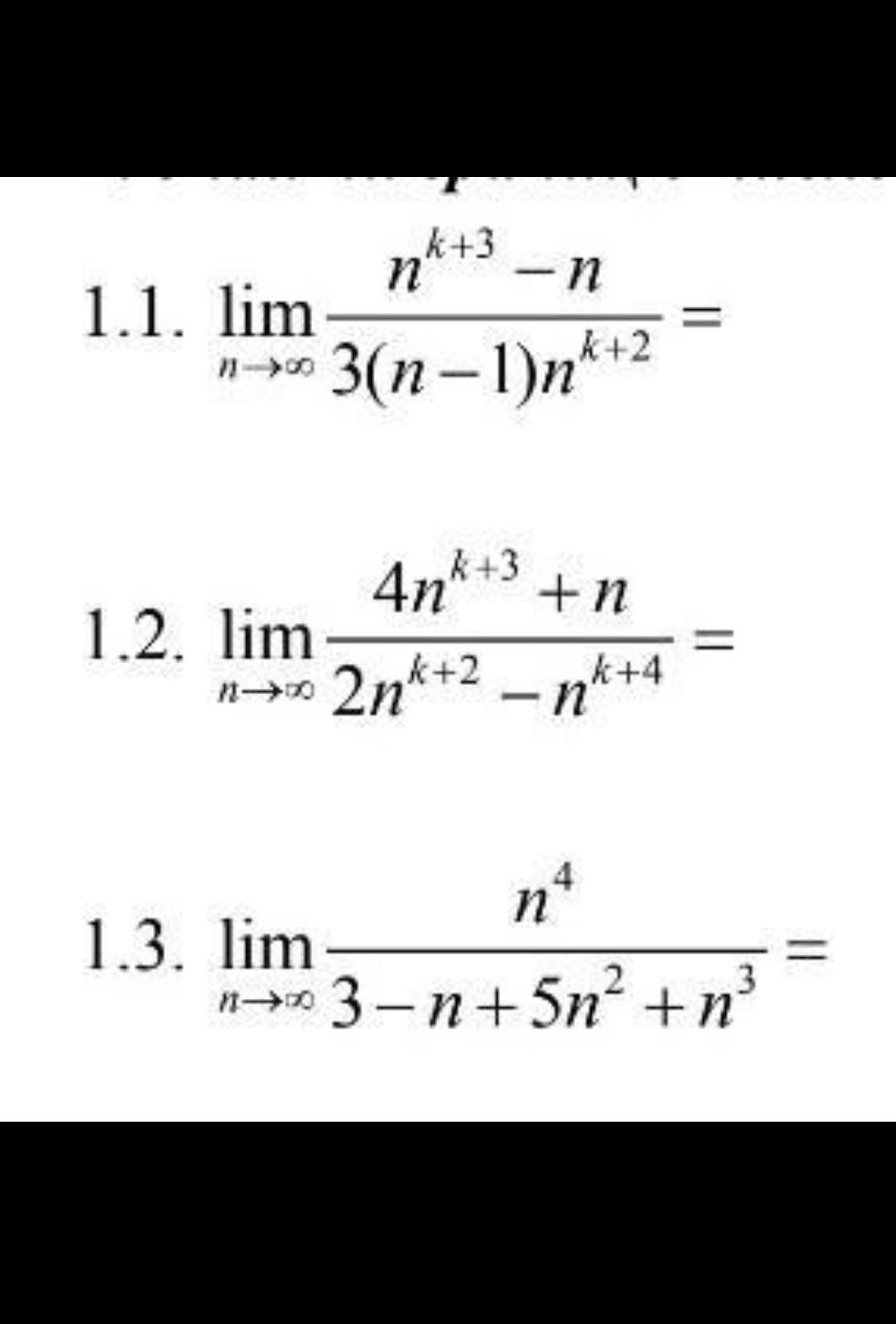
вместо литеры k -число 12​

Приложения:

Ответы

Автор ответа: LymarIvan
0

Ответ:

1.1. 1/3

1.2. 0

1.3. ∞

Пошаговое объяснение:

1.1.

\lim_{n \to \infty} \frac{n^{15}-n}{3(n-1)n^{14}} = \frac{1}{3} \lim_{n \to \infty} \frac{n^{15}-n}{n^{15}-n^{14}} =\frac{1}{3} \lim_{n \to \infty} \frac{n^{15}(1-\frac{1}{n^{14}}) }{n^{15}(1-\frac{1}{n}) } =\frac{1}{3} \lim_{n \to \infty} \frac{1-\frac{1}{n^{14}} }{1-\frac{1}{n} } =\frac{1}{3} \lim_{n \to \infty} \frac{1-0}{1-0} =\frac{1}{3}

1.2.

\lim_{n \to \infty} \frac{4n^{15}+n}{2n^{14}-n^{16}} = \lim_{n \to \infty} \frac{n^{16}(\frac{4}{n} +\frac{1}{n^{15}}) }{n^{16}(\frac{2}{n^2} -1)} =\lim_{n \to \infty} \frac{\frac{4}{n} +\frac{1}{n^{15}} }{\frac{2}{n^2} -1} =\lim_{n \to \infty} \frac{0+0 }{0 -1} =0

1.3.

\lim_{n \to \infty} \frac{n^4}{3-n+5n^2+n^3}  = \lim_{n \to \infty} \frac{n^4}{n^4(\frac{3}{n^4} -\frac{1}{n^3} +\frac{5}{n^2} +\frac{1}{n}) }  = \lim_{n \to \infty} \frac{1}{\frac{3}{n^4} -\frac{1}{n^3} +\frac{5}{n^2} +\frac{1}{n} }  = \lim_{n \to \infty} \frac{1}{0-0+0+0 }  =\infty

Похожие вопросы
Предмет: Математика, автор: david88815