Предмет: Математика,
автор: veselaia
Решить дифференциальное уравнение y'=-8y
Ответы
Автор ответа:
1
Ответ:
Пошаговое объяснение:
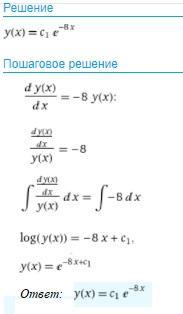
Решить дифференциальное уравнение
y'=-8y.
Решение и ответ см. скриншот
Приложения:
veselaia:
А интегрирование можно подробнее?
Похожие вопросы
Предмет: Русский язык,
автор: maxiklob20052
Предмет: Русский язык,
автор: Аноним
Предмет: Английский язык,
автор: tairovazhandays2
Предмет: Математика,
автор: Ivan111111359gf
Предмет: Литература,
автор: Тала1337