Предмет: Математика,
автор: Kortunov2002
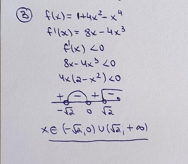
Помогите решить задание ниже и распишите решение пожалуйста срочно!!!!
Приложения:
Ответы
Автор ответа:
0
Ответ:
решение на фотографиях
Приложения:
Qwertsuny:
Miroslava227 ,я обратился к вам.Пожалуйста помогите !
Похожие вопросы
Предмет: Русский язык,
автор: Danik205205Denik
Предмет: Русский язык,
автор: HokumeOrucova
Предмет: Русский язык,
автор: ripazna
Предмет: История,
автор: Ka0212