Предмет: Математика,
автор: Evgeva2136
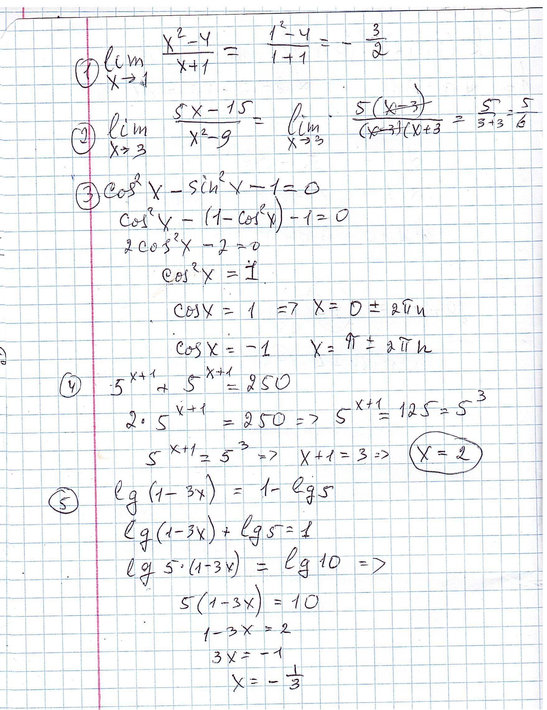
Помогите пожалуйста решить
Приложения:
Ответы
Автор ответа:
1
Ответ:
Пошаговое объяснение:
во вложении
Приложения:
Похожие вопросы
Предмет: Французский язык,
автор: Chokoyoko
Предмет: Русский язык,
автор: Аноним
Предмет: Українська література,
автор: DerpyHooves208
Предмет: Математика,
автор: germankuz0117p7qsm9
Предмет: Русский язык,
автор: Аноним