Предмет: Алгебра, автор: aries14

решите уравнение 7 класс
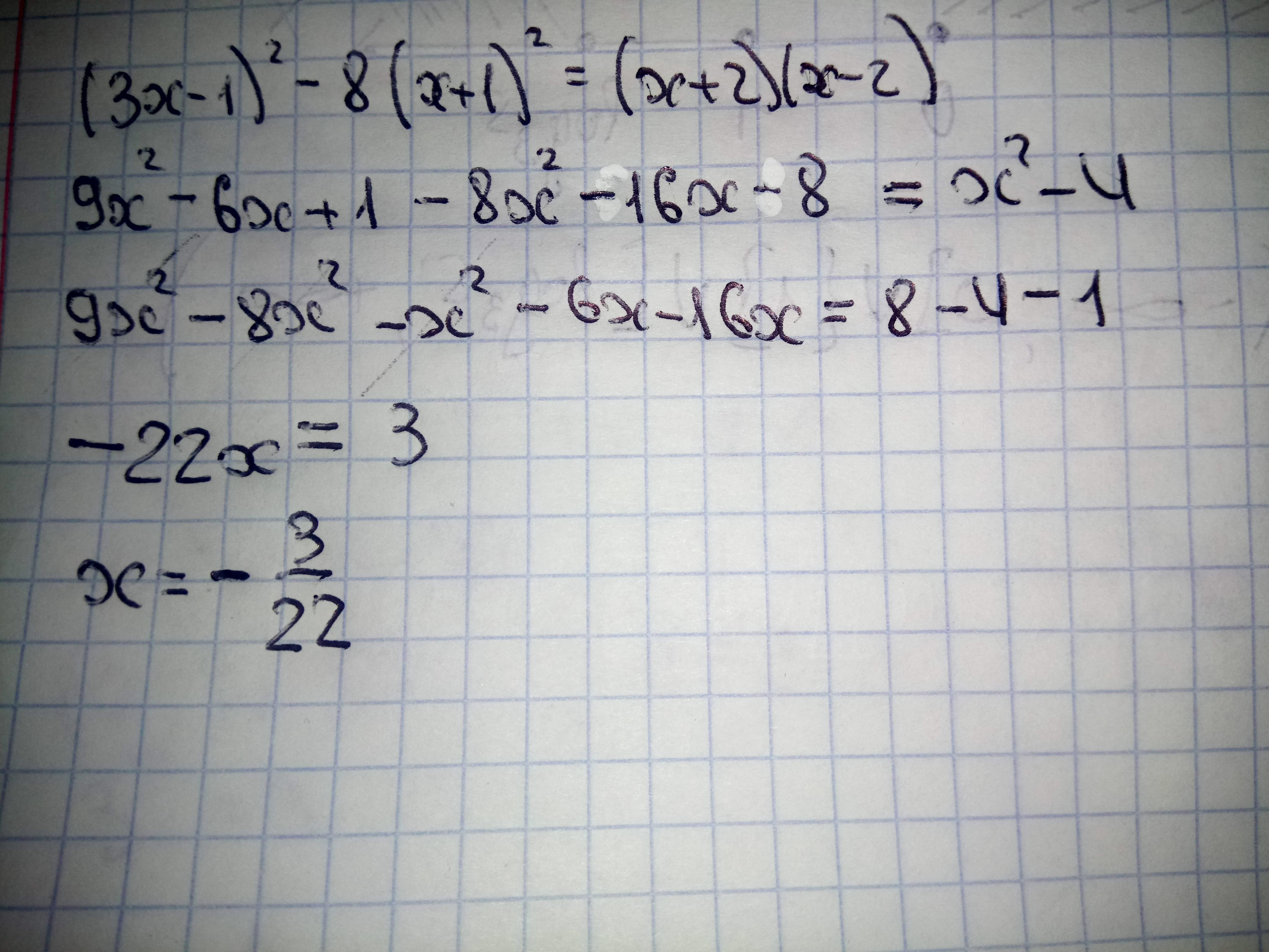
(3x-1)^2-8(x+1)^2=(x+2)(x-2)

Ответы

Автор ответа: Аноним
1

Решение задания прилагаю

Приложения:
Автор ответа: oleksandrpetrov
0

 \boxed{ {(a - b)}^{2} =  {a}^{2} - 2ab +  {b}^{2}  } \\   \boxed{ {(a + b) }^{2}  =  {a}^{2}  + 2ab +  {b}^{2} } \\ \boxed{ {a}^{2}  -  {b}^{2}  = (a + b)(a - b)}

 {(3x - 1)}^{2}  - 8{(x + 1)}^{2}  = (x + 2)(x - 2) \\ 9 {x}^{2}  - 6x + 1 - 8( {x}^{2}  + 2x + 1) =  {x}^{2}  - 4 \\ 9 {x}^{2}  - 6x + 1 - 8 {x}^{2}  - 16x - 8 =  {x}^{2}  - 4 \\ 9 {x}^{2}  - 8 {x}^{2}  -  {x}^{2}  - 6x - 16x =  - 4 - 1 + 8 \\  - 22x = 3 \\  \boldsymbol{x =  -  \frac{3}{22} }

Похожие вопросы
Предмет: Українська мова, автор: stadnik1977
Предмет: Математика, автор: may38