Предмет: Математика,
автор: zahaZAG
Помогите пожалуйста
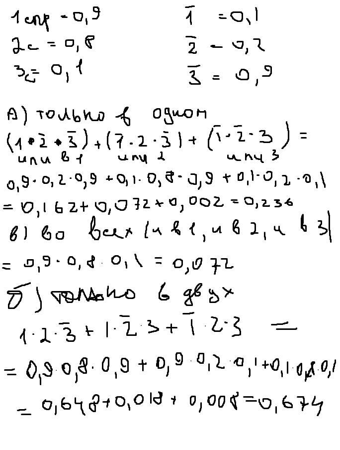
Студент разыскивает нужную ему формулу в трех справочниках. Вероятности того, что формула содержится в первом, втором и третьем справочниках равны 0,9 0,8 и 0.1. Найти вероятности того, что формула содержится:
a) только в одном справочнике;
б) только в двух справочниках;
в) во всех трех справочниках.
Ответы
Автор ответа:
0
Ответ:
a) 0,236
b) 0,674
c) 0,072
Пошаговое объяснение:
Приложения:
Похожие вопросы
Предмет: Русский язык,
автор: Нил1111
Предмет: Русский язык,
автор: ГЛАЗАСТSQ
Предмет: Английский язык,
автор: nikit03
Предмет: География,
автор: 1488Baton1488
Предмет: Окружающий мир,
автор: Аноним