Предмет: Математика,
автор: Ymnik200000
Вычислить несобственный интеграл или доказать его расходимость! Срочно!
Приложения:
Ответы
Автор ответа:
1
Ответ:
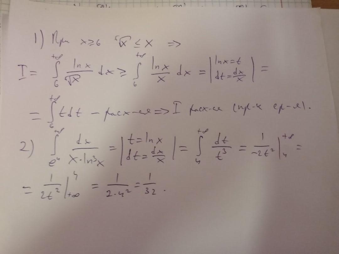
1)расходится
2)1\32
Пошаговое объяснение:
1.
x^(1/5)<=x при x>=6, откуда 1/x^(1/5)>=1/x. Значит int(lnx/x^(1/5)) (от 6 до +inf) >= int (lnx/x) (от 6 до +inf). Замена lnx = t => dt=dx/x => int (lnx/x) (от 6 до +inf) = int t*dt (от ln(6) до +inf) = +inf - расходится, по признаку сравнения расходится и исходный
2.
lnx = t => dt=dx/x =>I = int(от 4 до +inf) dt/t^3 = 1/(2t^2) | (от +inf до 4) = |второе слагаемое =0, т.к. 1/(t^2) -> 0 при t-> inf)| = 1/(2*4^2) = 1/32.
Приложения:
Ymnik200000:
Может я буду выкладывать задания, а вы их решать?) За каждое задание буду ставить пятерки:)
не, у меня экзамен через несколько дней
botatь надо
Вооот и подготовитесь))
так у меня не задачи решать, а теоремы доказывать
я не все помню
Ох уже теоретики))
весь матан состоит по сути из доказательства множества интересных фактов и определений :\
ладно я спать хочу
Спокойной ночи)
Похожие вопросы
Предмет: Окружающий мир,
автор: Аноним
Предмет: Другие предметы,
автор: Pomoshik56
Предмет: Русский язык,
автор: 55555178
Предмет: Русский язык,
автор: qwertyuiopasdfg19