Предмет: Алгебра,
автор: forebyk
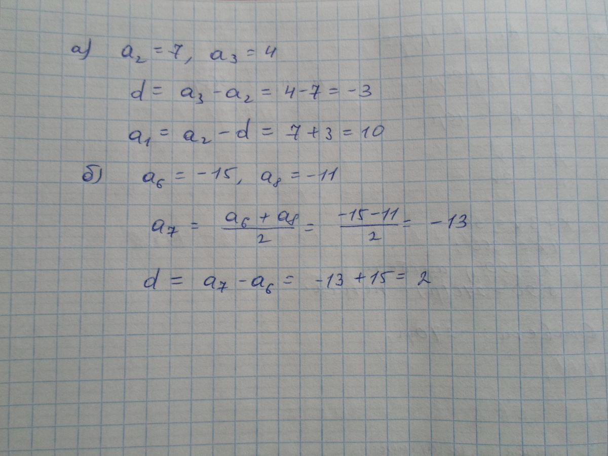
в арифметической прогрессии an найдите :
а) a1 и d,если a2=7,a3=4
б)а7 и d,если а6=-15,а8=-11
Ответы
Автор ответа:
0
ответ смотри во вложении
Приложения:
Автор ответа:
0
надеюсь, что помогла)
Приложения:
Похожие вопросы
Предмет: Русский язык,
автор: Аноним
Предмет: Қазақ тiлi,
автор: duisenbekxamidollaev
Предмет: Музыка,
автор: liza3354
Предмет: Алгебра,
автор: SabinaSyilar
Предмет: Алгебра,
автор: Alena1009