Предмет: Математика, автор: leonidsparta252

Помогите решить пожалуйста. ​

Приложения:

Ответы

Автор ответа: aolaa
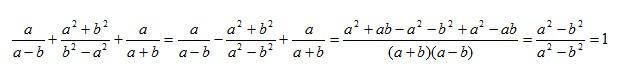
2

Ответ: 1

Пошаговое объяснение:

Приложения:
Похожие вопросы
Предмет: Английский язык, автор: Аноним
Помогите,пожалуйста,перевести этот текст. Даю 60 баллов.
Мари-мать одиночка, что воспитывает маленькую дочь Шарли.Когда она представила девочке их нового повара,негра по имени Мистер Черч, то дитя не было в восторге. Но со временем добродушный черножкожий нашел путь к сердцу Шарли. Он был особенный, много читал, вкусно готовил и мог играть на Гитаре. Довольно быстро Мистер черч начал становится не просто поваром, а членом семьи и отцом, который был необходим.
Шли годы девочка повзрослела и поступила в универиситет, и тут выяснилось, что у ее матери рак, и она скоро умрет. Черч на этом этапе очень сильно поддерживал морально и материально обеих. Но после смерти Мари их пути разошлись.Спустя некоторое время Шарли забеременела. И в серьезных отношениях она не состоит и соответсвтенно будет матерью одиночкой. Ситуацию усугубляет тот факт,что ей негде жить. В этой сложной ситуации вновь помощь оказал Мичтер Черч
Предмет: Математика, автор: TutiFruti23