Предмет: Физика,
автор: LymarIvan
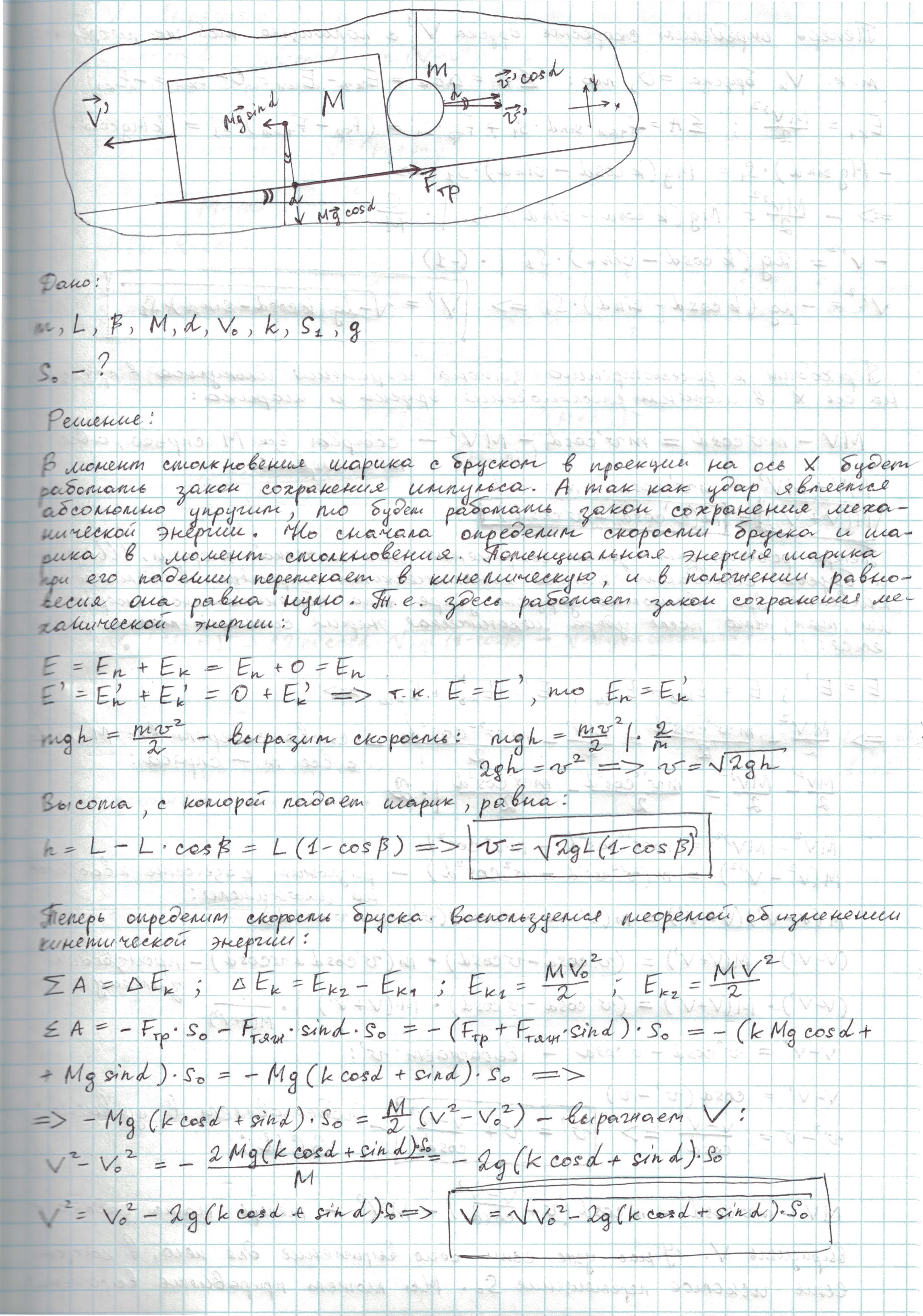
Шарик массой m, подвешенный на невесомой нерастяжимой нити длиной L, отводят на угол β и отпускают. В момент прохождения положения равновесия шарик упруго сталкивается с боковой поверхностью бруска массой M, который двигается вдоль наклонной плоскости с углом α к основанию снизу вверх с начальной скоростью v_0. Удар центральный, абсолютно упругий. Коэффициент трения между бруском и плоскостью равен k. До сталкивания брусок прошел некоторое расстояние. После взаимодействия брусок прошел вниз путь S_1. Найдите путь, пройденный бруском до взаимодействия
Пришелец13:
Скажите, может, есть рисунок поясняющий? Или какие-то детали, типа "в начальный момент времени брусок начинает двигаться вместе с шариком..."? Решение получается громоздким... Если я, конечно, правильно расшифровал условия.
нет, это все, что есть в задачнике, я только перевел условие на русский. сейчас посмотрел и увидел, что на написано, когда начал двигаться брусок
не написано*
А задачник есть в сети? Можете написать название?
И автора.
Завгородній, Бех, "Задачі з загальної фізики"
Подскажите номер задачи, пожалуйста.
7.10
Хм... Я посмотрел на ответы к другим задачам в этом разделе. И по громоздкости они смахивают на решение вашей задачи) Я выложу чуть позже.
Ответы
Автор ответа:
1
Решение - на сканах.
Приложения:
Похожие вопросы
Предмет: Русский язык,
автор: 0987655
Предмет: Русский язык,
автор: lizaprofi
Предмет: Русский язык,
автор: echeda77777
Предмет: Математика,
автор: Angelica161
Предмет: Химия,
автор: dasdasdasdasdasd