Предмет: Математика,
автор: ternovskiya
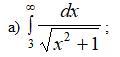
Вычислить несобственный интеграл или определить его расходимость
Приложения:
Ответы
Автор ответа:
0
Ответ:
Интеграл расходится
Пошаговое объяснение:
Решение на картинке
Приложения:
Похожие вопросы
Предмет: Русский язык,
автор: irmixa
Предмет: Русский язык,
автор: LazerLou
Предмет: Английский язык,
автор: skarpionz
Предмет: Алгебра,
автор: gsf22