Предмет: Математика,
автор: Luluuuul
Помогитееее пожалуйстааа нужно найти производную
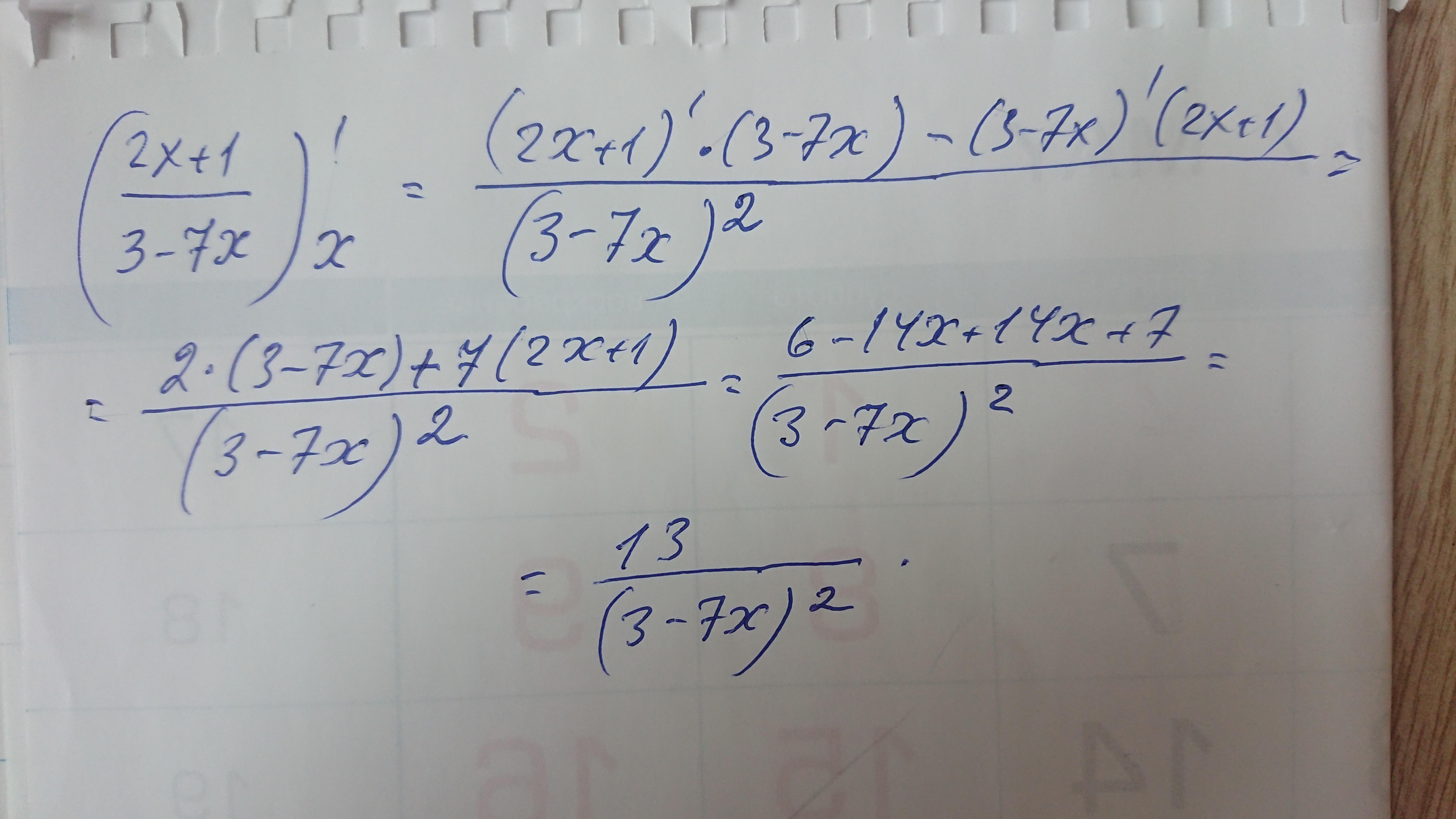
y=(2x+1)/(3-7x)
Ответы
Автор ответа:
0
Ответ: 13/(3-7*х)^2. См фото.
Пошаговое объяснение:
Приложения:
Автор ответа:
1
Ответ:
13/(3-7x)²
Пошаговое объяснение:
y=(2x+1)/(3-7x)
Воспользуемся правилом нахождения производной частного;
y' = ((2x+1)'•(3-7x) - (3-7x)'•(2x+1)) / (3-7x)² = (2•(3-7x) - (-7)•(2x+1)) / (3-7x)² = (6 - 14x + 14x + 7) / (3-7x)² = 13/(3-7x)².
Похожие вопросы
Предмет: Қазақ тiлi,
автор: lanabayts
Предмет: Русский язык,
автор: veronika612581
Предмет: Английский язык,
автор: zeka8965
Предмет: Українська мова,
автор: annareza007