Предмет: Математика, автор: annapetrichenk

Срочно!!! Помогите решить дифференциальное уравнение!

Приложения:

Ответы

Автор ответа: Miroslava227
0

Ответ:

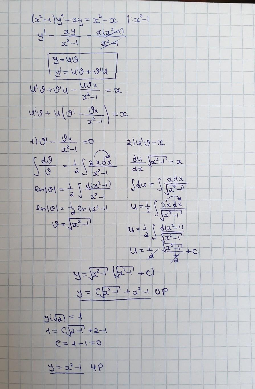
решение на фотографии.

Приложения:
Похожие вопросы
Предмет: Русский язык, автор: NicII
Помогите.
Среди пред­ло­же­ний 6—11 най­ди­те пред­ло­же­ние с обособ­лен­ным об­сто­я­тель­ством, вы­ра­жен­ным де­е­при­част­ным обо­ро­том. На­пи­ши­те номер этого пред­ло­же­ния.

(1)По дому пла­ва­ли за­па­хи и крики. (2)На­деж­да на­кры­ва­ла стол и ру­га­лась с Ок­са­ной, ко­то­рая на­хо­ди­лась в ван­ной и от­ве­ча­ла через стену. (3)Слов не было слыш­но, но Ко­роль­ков улав­ли­вал смысл кон­флик­та. (4)Кон­фликт со­сто­ял в том, что На­деж­да хо­те­ла си­деть за сто­лом вме­сте с молодёжью, а Ок­са­на имен­но этого не хо­те­ла и при­во­ди­ла в при­мер дру­гих ма­те­рей, ко­то­рые не толь­ко не сидят за сто­лом, но даже ухо­дят из дома. (5)На­деж­да кри­ча­ла, что она по­тра­ти­ла не­де­лю на при­го­тов­ле­ние празд­нич­но­го стола и всю про­шлую жизнь на вос­пи­та­ние Ок­са­ны и не на­ме­ре­на си­деть на кухне, как при­слу­га. (6)Ко­роль­ков лежал у себя в ком­на­те на ди­ва­не и думал о том, что Ок­са­на не умеет раз­го­ва­ри­вать с ма­те­рью, а На­деж­да — с до­че­рью. (7)Она ко­ман­ду­ет, уни­жая её. (8)И они за­жи­га­ют­ся друг о друга, как спич­ка о ко­ро­бок. (9)Ко­роль­ков знал по себе: от него тоже можно чего-то до­бить­ся толь­ко ле­стью. (10)Лесть как бы при­под­ни­ма­ла его воз­мож­но­сти, и он стре­мил­ся под­нять себя до этого но­во­го и при­ят­но­го ему пре­де­ла.
(11)От­во­ри­лась дверь, и вошла Ок­са­на в длин­ной новой кофте в стиле «ретро», или, как она на­зы­ва­ла, «ре­тру­хи».
– (12)Пап, ну скажи ей, — гром­ко по­жа­ло­ва­лась Ок­са­на. — (13)Чего она мне нервы мо­та­ет?
Предмет: Қазақ тiлi, автор: lbuzina