Предмет: Математика,
автор: 1225570
помогите пожалуйста очень надо
Приложения:
Ответы
Автор ответа:
2
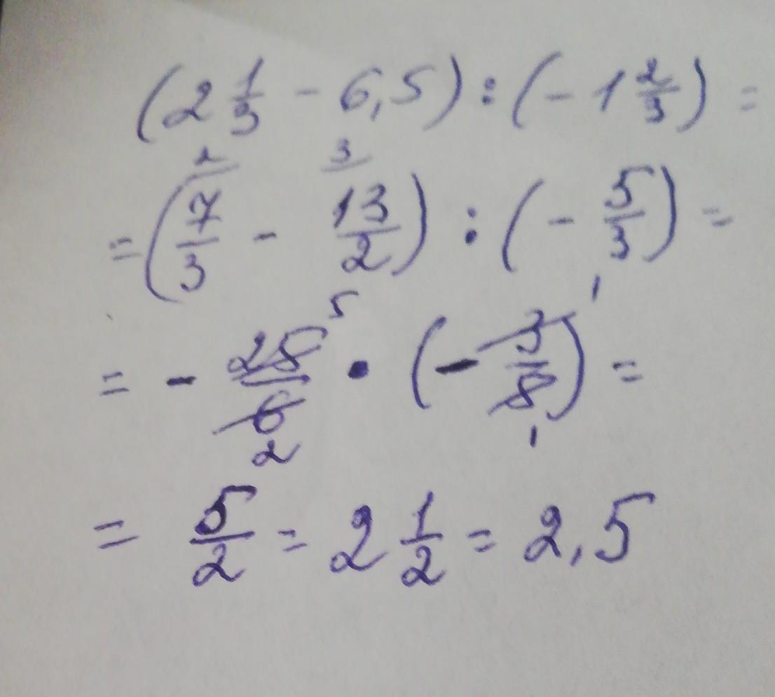
Ответ:
Смотри решение на фото
Приложения:
ankuda08:
там в ответе будет -2,5
а, не
нет. в ответ будет +. При умножении минуса на минус в ответе будет плюс Это правило!!!
(-) *(-) =+
Автор ответа:
1
Ответ:
(2⅓-6,5)÷(-1⅔)=(7/3-13/2)÷(-5/3)=( (14-39)/6 )÷(-5/3)= -25/6÷(-5/3)=25/6*3/5=5/2=2½=2,5
Похожие вопросы
Предмет: Русский язык,
автор: Нурай2015
Предмет: Русский язык,
автор: морган33333333
Предмет: Русский язык,
автор: ВсеЗнайка2017
Предмет: Русский язык,
автор: Joler1dkkf