Предмет: Алгебра,
автор: shaurma261
помогите пожалуйста срочно надо!
Приложения:
Ответы
Автор ответа:
0
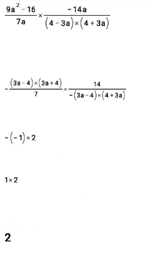
Ответ :надеюсь смогла помочь
Приложения:
Похожие вопросы
Предмет: Русский язык,
автор: Лена105
Предмет: Русский язык,
автор: виктория1471
Предмет: Русский язык,
автор: ангел0211
Предмет: Информатика,
автор: viktoriausupova