Предмет: Математика,
автор: mikipetryush
розв'яжіть рівняння 0,3|x|-1=1-0,5|a|
a и x модули
Ответы
Автор ответа:
1
0,3|x| - 1 = 1 - 0,5|а|
1)0,3х - 1 = 1 - 0,5а
0,3х = 1 + 1 - 0,5а
0,3х = 2 - 0,5а
х = (2 - 0,5а)/0,3
2) 0,3х - 1 = 1 - 0,5(-а)
0,3х = 1 + 1 + 0,5а
0,3х = 2 + 0,5а
х = (2 + 0,5а)/0,3
3) 0,3(-х) - 1 = 1 - 0,5а
-0,3х = 1 + 1 - 0,5
-0,3х = 2 - 0,5а
х = -(2 - 0,5а)/0,3
4) 0,3(-х) - 1 = 1 - 0,5(-а)
-0,3х = 1 + 1 + 0,5а
-0,3х = 2 + 0,5а
х = -(2 + 0,5а)/0,3
1)0,3х - 1 = 1 - 0,5а
0,3х = 1 + 1 - 0,5а
0,3х = 2 - 0,5а
х = (2 - 0,5а)/0,3
2) 0,3х - 1 = 1 - 0,5(-а)
0,3х = 1 + 1 + 0,5а
0,3х = 2 + 0,5а
х = (2 + 0,5а)/0,3
3) 0,3(-х) - 1 = 1 - 0,5а
-0,3х = 1 + 1 - 0,5
-0,3х = 2 - 0,5а
х = -(2 - 0,5а)/0,3
4) 0,3(-х) - 1 = 1 - 0,5(-а)
-0,3х = 1 + 1 + 0,5а
-0,3х = 2 + 0,5а
х = -(2 + 0,5а)/0,3
Автор ответа:
0
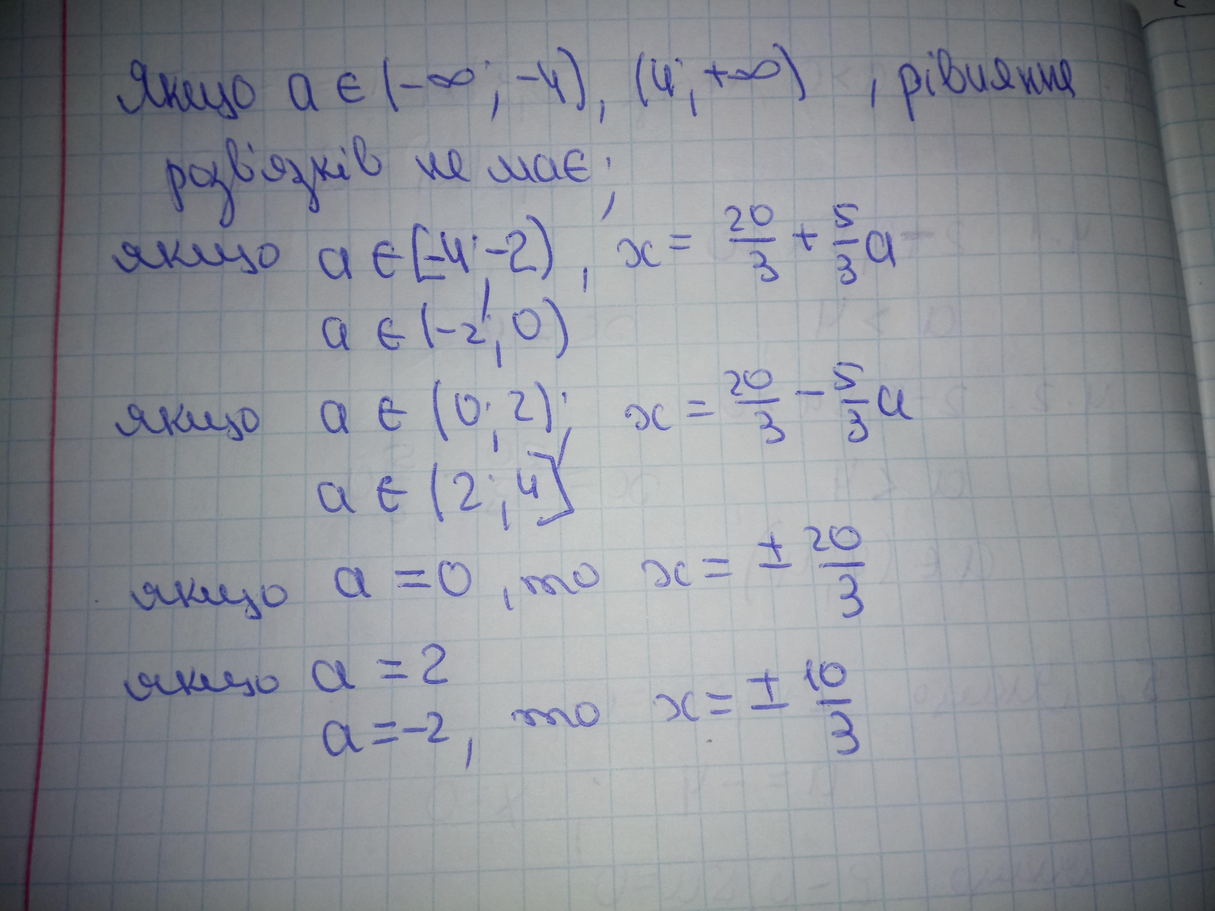
Рiвняння з параметром. Фото
Приложения:
Похожие вопросы
Предмет: Русский язык,
автор: Tilan
Предмет: Українська мова,
автор: oleksiy2002
Предмет: Русский язык,
автор: Аноним
Предмет: Биология,
автор: AndreKYL
Предмет: Математика,
автор: 5501080аружан