Предмет: Математика,
автор: Аноним
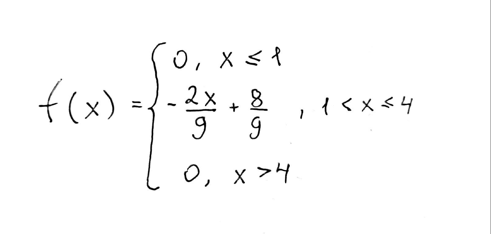
Случайная величина Х задана плотностью вероятности f(x). Найти математическое ожидание и дисперсию случайной величины Х.
Приложения:
Ответы
Автор ответа:
2
Ответ:
М(x) = 2, D(x) = 1/2
Пошаговое объяснение:
На фото
Приложения:
Аноним:
Большое спасибо!
Похожие вопросы
Предмет: Русский язык,
автор: СашаСпилберг101
Предмет: Русский язык,
автор: zadura41
Предмет: Русский язык,
автор: Оморов
Предмет: Математика,
автор: Gugalove12
Предмет: Русский язык,
автор: 666478