Предмет: Геометрия, автор: kamilmatematik100504

24. У 12-угольника всего сторон по 6 и углы по 120◦ и 210◦ так,что каждый угол в 120◦ соседний с углом в 210◦. Площадь этого многоугольника равна a+b√c , где a, b, и c — целые и не делится на квадрат никакого простого числа .Чему равно
a + b + c?

Приложения:

dnepr1: Что то в условии неверно: если соединить вершины через одну, то должен получиться правильный 6-ти угольник с углами по (180*(6-2))/6 = 120 градусов. В задании этот угол равен 210 - (2*30) = 150 градусов???
dnepr1: Может задан 24-х угольник? Тогда углы будут соответствовать заданию.
kamilmatematik100504: Я вам в личку написал.

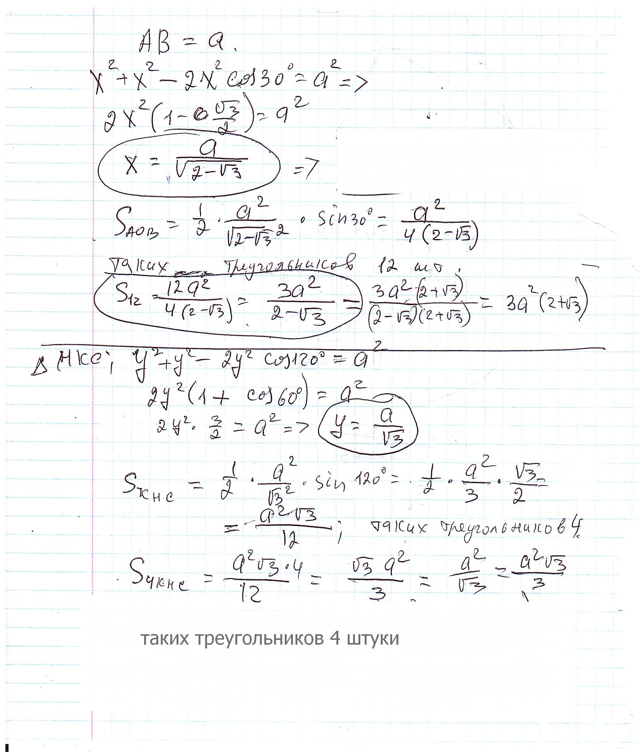
Ответы

Автор ответа: ужнеужели
2

Ответ:

есть второй вариант решения, когда дополнительные треугольники не вовнутрь, а наружу, но там  числа не проходят отбор по неделимости число b делится на 9

Объяснение:

во вложенных файлах (3 штуки)

Приложения:

ужнеужели: В этом и олимпиадность. Раз не сказано, то должен искать. Еще раз, не бывает внутреннего угла у выпуклой фигуры равного 210 градусов.
ужнеужели: Посчитайте 180(n-2)/n = 210
ужнеужели: Спокойной ночи, мне уже пора спать
ужнеужели: Кстати, тогда оба решения правильные.
ужнеужели: рисунок не тот http://prntscr.com/14c7vg6
ужнеужели: первая часть http://prntscr.com/14catxg
ужнеужели: вторая часть http://prntscr.com/14cb162
kamilmatematik100504: спасибо !!!
ужнеужели: Удачи. Меня все же беспокоит это "сторон по 6" будет хороший перевод, сообщите, пожалуйста
kamilmatematik100504: Обязательно !
Похожие вопросы
Предмет: Русский язык, автор: лили63