Предмет: Математика, автор: frash279

Найти указанные пределы:
a) lim┬(x→∞)⁡〖((6x^3+4x^4-3x^2+3)/(7x^4+2x^2 ))^ 〗
d) 〖lim┬(x→1) (√(1+8x^2 )-3)/(x^2-x)〗⁡
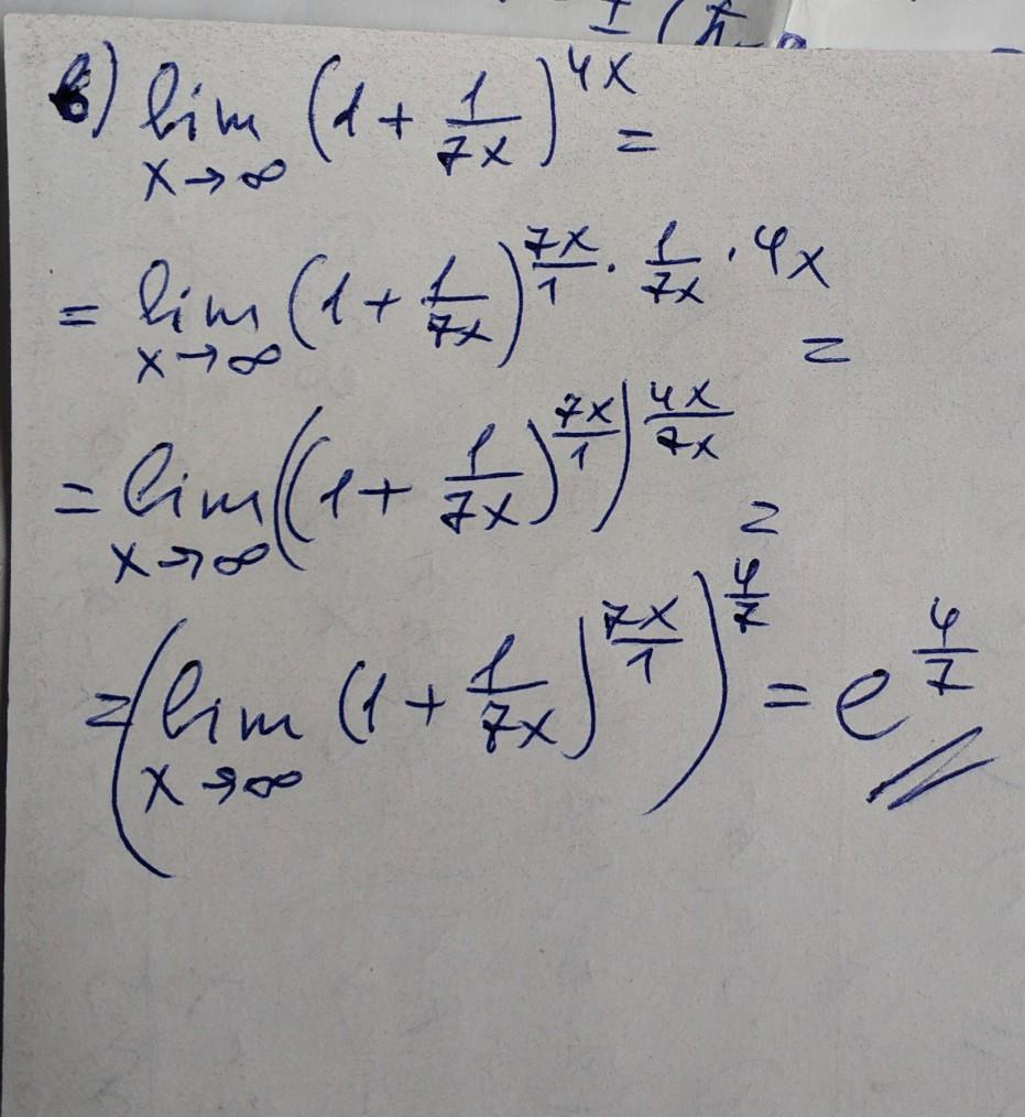
c) lim┬(x→∞)⁡〖(1+1/7x)^4x 〗

Ответы

Автор ответа: kirichekov
1

Ответ:

а). =4/7

б). =8/3

в). =е^(4/7)

Пошаговое объяснение:

решение во вложении ( два фото)

Приложения:
Похожие вопросы
Предмет: Русский язык, автор: DADYAPOMOGI
Найти ошибки, исправить их . ХЕЛП РЕБЯТА


7. Осознавая свои ошибки, это помогает избежать их в будущем

8. Лёгкая рябь чуть колышет белые кувшинки, распустившихся на прозрачной глади воды.
9. Экзамены были проведены согласно расписания.

10. В своём знаменитом романе «Русском лесе» Л. Леонов воспел лесника как основного хранителя русского леса.
11. Художник Васнецов, автор картин «Богатырей», «Алёнушки», «Ивана-царевича на сером волке», любил народные сказки и былины.
12. В конце 19 века существовало мнение, согласно которого 20 век назывался «концом науки».
13. Очень яркое описание оптического телеграфа оставил нам А. Дюма в романе «Графе Монте-Кристо».
14. На протяжении веков не только фабриковали и подделывали исторические документы, но и географические карты.
15. Все, кто стояли в очереди, продолжали молчать.

16. Автор статьи пишет, что я обращаюсь ко всем, кому не безразлична судьба России
17. Рассматривая картину, мне стало интересно, когда она была написана.
18. Согласно указу Петра I все те, кто сбрасывали мусор в Неву, подвергались наказанию.
19. Восхищаться и рассказывать об Италии можно бесконечно.

20. Мигая бледнеющими на рассвете огнями, хотелось любоваться приближающимся пароходом.
21. Уходя со смены, рабочими проверяется оборудование фабрики.
22. Благодаря различных видов искусства человек может передавать самые сложные чувства.
23. О романе Булгакова «Мастере и Маргарите» написаны сотни критических статей.
24. Благодаря пристального внимания ботаников к кактусам это самая изученная группа растений.
25. Поражающий парк в Павловске своей красотой давно привлекает внимание туристов.