Предмет: Математика,
автор: gavharoymamatova8
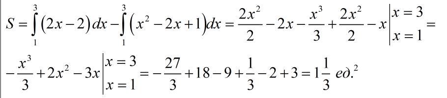
Найдите площадь фигуры ограниченной графиком функции f(x)=x²-2x+1 и графиком ее производной f'(x)
помогите пожалуйста!!!!
Ответы
Автор ответа:
0
Ответ:
Пошаговое объяснение:
f'(x)=2x-2
найдем пределы интегрирования: x²-2x+1=2x-2⇒x²-4x+3=0⇒x₁=3, x₂=1
Приложения:
Похожие вопросы
Предмет: Английский язык,
автор: Аноним
Предмет: Русский язык,
автор: какумба
Предмет: Українська мова,
автор: MrSkeletik
Предмет: Окружающий мир,
автор: Вивьен2007
Предмет: Алгебра,
автор: gafitiwi