Предмет: Математика,
автор: Аноним
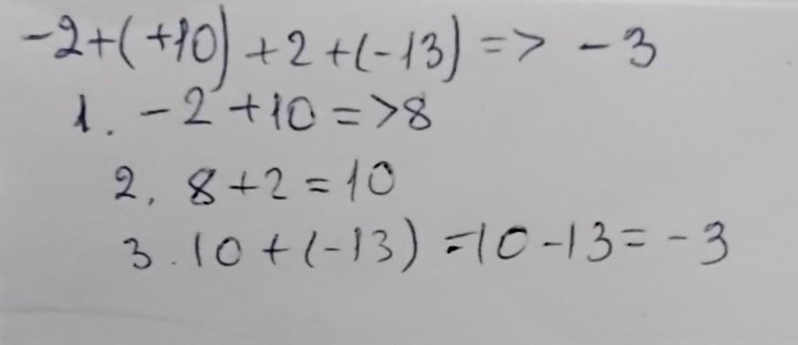
-2+(+10)+2+(-13)
СРОЧНО ПОЖАЛУЙСТА!!!
Ответы
Автор ответа:
1
Ответ:
-3
Пошаговое объяснение:
1) -2 + (+10) = -2 + 10 = 8
2) 8 + 2 = 10
3) 10 + (-13) = 10 - 13 = -3
Автор ответа:
1
Ответ:
решение данного примера дано на фотографии
Приложения:
Похожие вопросы
Предмет: Английский язык,
автор: дончик03z
Предмет: Русский язык,
автор: димон2005233
Предмет: Русский язык,
автор: ренат30
Предмет: Математика,
автор: батуми1
Предмет: Информатика,
автор: snegovichok1