Предмет: Математика,
автор: andr150618
1. Обчислити визначений
інтеграл(по 1 балу)
Приложения:
Ответы
Автор ответа:
1
Ответ:
Пошаговое объяснение:
4x| зверху біля риски 3,знизу 1
4×3-4×1=8+С
2.
(2х^4)| зверху біля риски 2,знизу 1
2×16-2×1=32-2=30+С
3.
-3/2х^2|зверху 4,знизу 3
-1,5×16+1,5×9=-24+13,5=-10,5+С
Автор ответа:
1
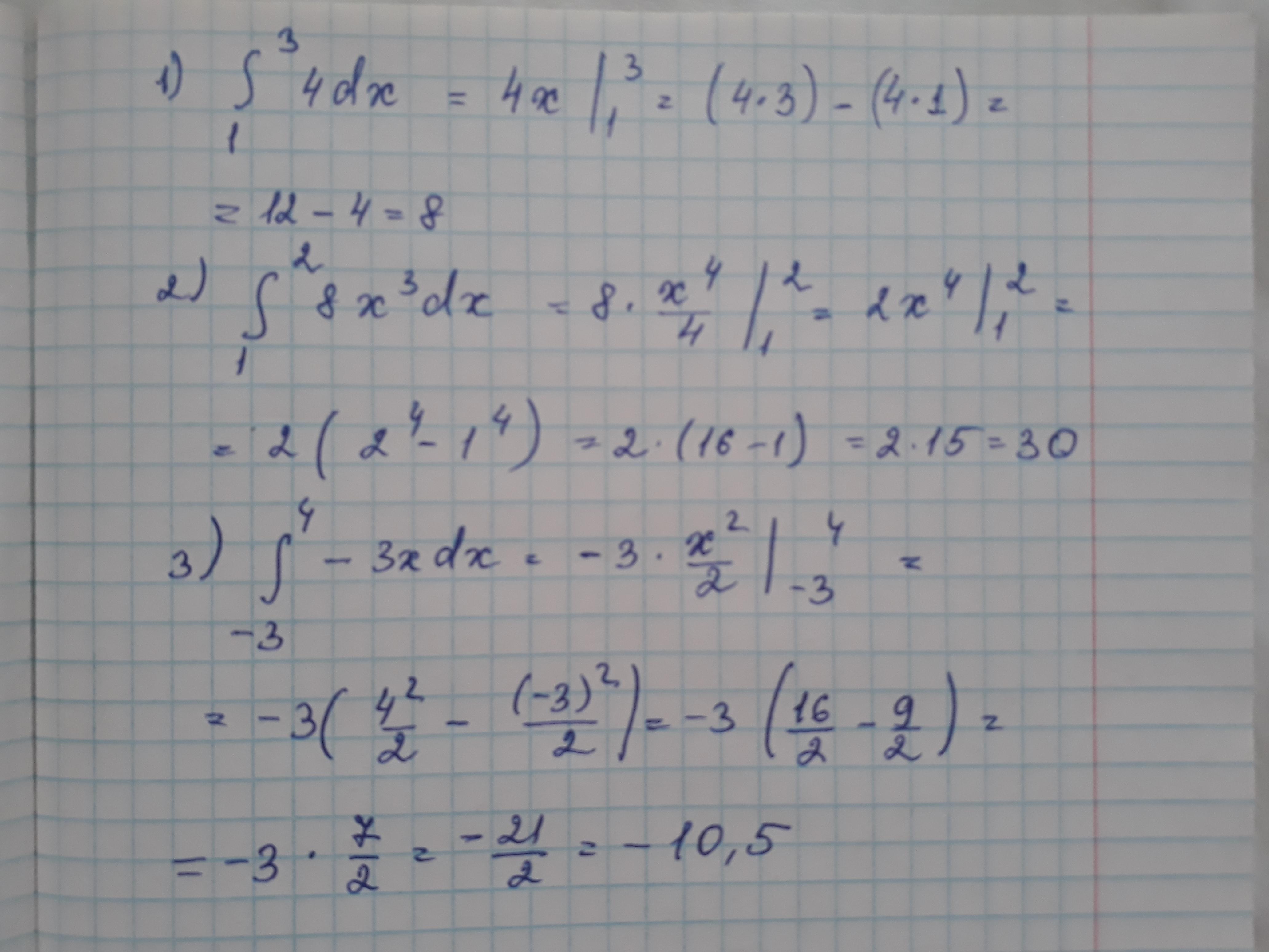
Ответ:
1) 8 2) 30 3) -10,5
Пошаговое объяснение:
Приложения:
Похожие вопросы
Предмет: Русский язык,
автор: Аноним
Предмет: Русский язык,
автор: naqievramiz
Предмет: Русский язык,
автор: пбсььсбаьсьс
Предмет: Физика,
автор: 03455765
Предмет: Математика,
автор: Anfisa10000