Предмет: Информатика,
автор: danilcapitan
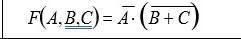
Построить таблицу истинности и логическую схему, соответствующей логической функции.
Приложения:
Ответы
Автор ответа:
0
Відповідь:
Ответ в пояснении.
Пояснення:
Таблица истинности.
А В С F
0 0 0 1
0 0 1 1
0 1 0 1
0 1 1 1
1 0 0 1
1 0 1 1
1 1 0 1
1 1 1 0
Приложения:
Похожие вопросы
Предмет: Русский язык,
автор: serega99215
Предмет: Русский язык,
автор: kitten16666
Предмет: Английский язык,
автор: Esmeralda11
Предмет: Литература,
автор: ПуШиСтЫйВоЛчЕнОк
Предмет: Русский язык,
автор: tapo4eklimon4ik