Предмет: Математика,
автор: diko182160
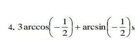
как решить помогите пожалуйста
Приложения:
Ответы
Автор ответа:
1
Пошаговое объяснение:
diko182160:
спасибо
Похожие вопросы
Предмет: Русский язык,
автор: koann
Предмет: Английский язык,
автор: алекс332
Предмет: Русский язык,
автор: Аноним
Предмет: Физика,
автор: Аноним
Предмет: Биология,
автор: рома1461