Предмет: Математика,
автор: 79788219211
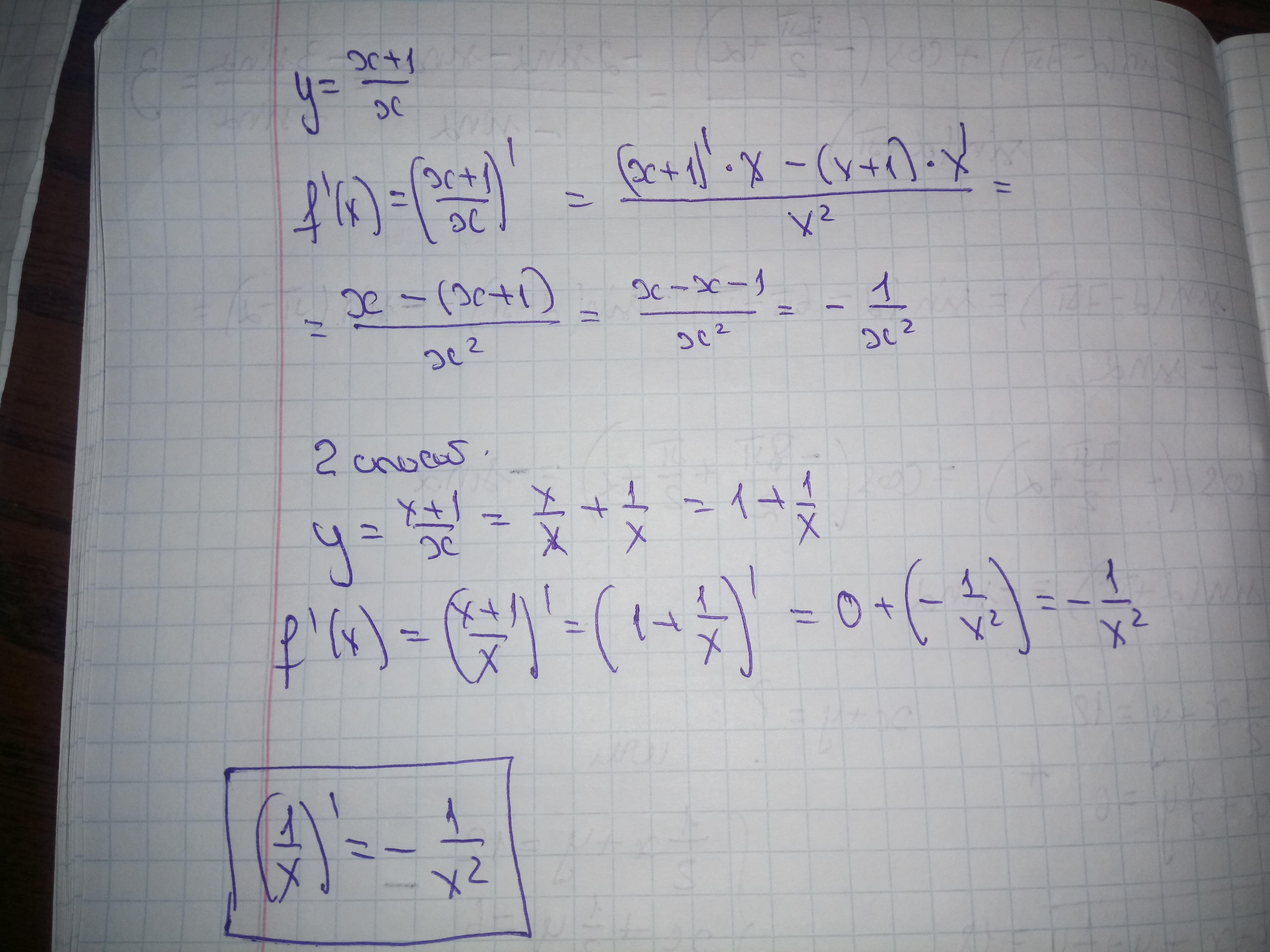
ПОМОГИТЕ ДОРЕШАТЬ ПОЖАЛУЙСТА!!! Не могу найти производную
y=x+1/x
Приложения:
Ответы
Автор ответа:
1
Решение задания прилагаю
Приложения:
79788219211:
Спасибо
Похожие вопросы
Предмет: Русский язык,
автор: СЛООООЖНННААААААА
Предмет: Русский язык,
автор: aygun267aygun
Предмет: Русский язык,
автор: sashavasiliuk
Предмет: История,
автор: veronica43
Предмет: Математика,
автор: TRENBOLON