Предмет: Математика,
автор: dndjdjdjdjdi2
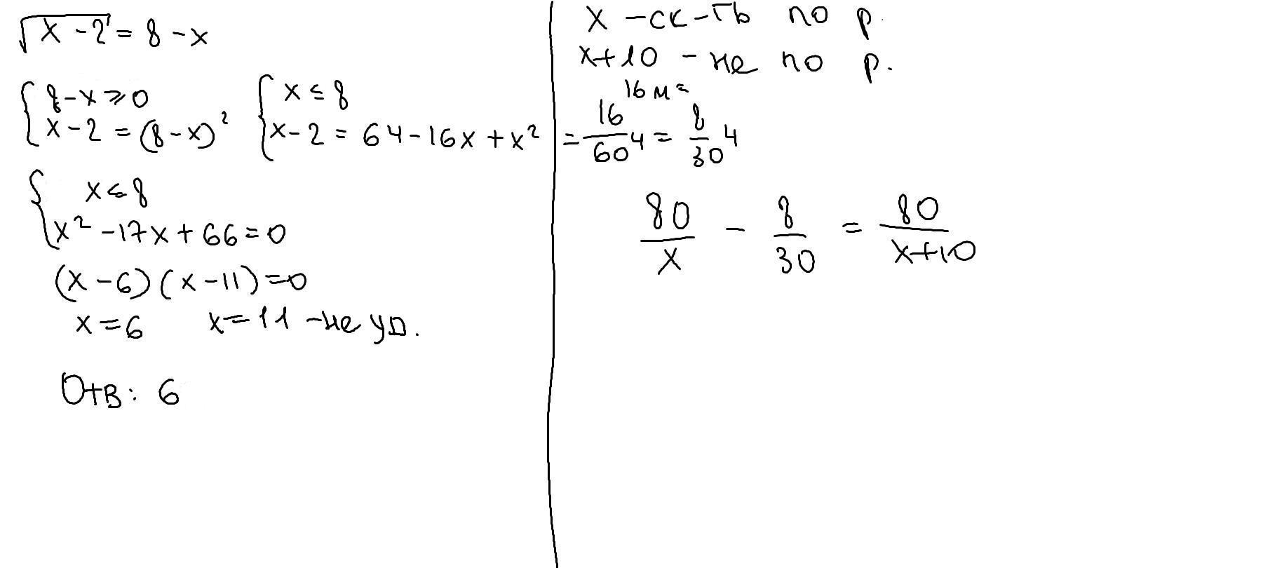
ПОМОГИТЕ ПОЖАЛУЙСТА ЗАДАЧИ ПО АЛГЕБРЕ ПОЖАЛУЙСТА ОЧЕНЬ СРОЧНО!!! ЗАДАЧИ:13;14.
Приложения:
Ответы
Автор ответа:
0
Ответ:
Решения во вложении. В 14 уравнение дорешаешь.
Пошаговое объяснение:
Приложения:
kate2003pavlova:
11 не подходит так как не принадлежит одз
одз: 8-x>=0, т. е x<=8
Точно. Исправлю.
Похожие вопросы
Предмет: Русский язык,
автор: m7arilleopaAnuti
Предмет: Окружающий мир,
автор: гербпорт
Предмет: Английский язык,
автор: k5rishaalubas
Предмет: Алгебра,
автор: vnkvartem
Предмет: История,
автор: LeraLis201