Предмет: Алгебра,
автор: shakirbaraev53
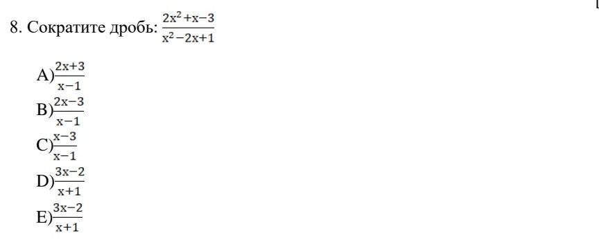
помогите пожалуйста
Приложения:
Ответы
Автор ответа:
1
---------------------------
Приложения:
Похожие вопросы
Предмет: Русский язык,
автор: Аноним
Предмет: Қазақ тiлi,
автор: zumma11
Предмет: Русский язык,
автор: gulqedemabdulla
Предмет: Беларуская мова,
автор: ljaska58
Предмет: Математика,
автор: нелия2