Предмет: Математика,
автор: cjjcfjztiztigixgix
упростите выражения СРОЧНО
Приложения:
ulgorba4eva42:
А там (х-3)(х+3)?
Ответы
Автор ответа:
0
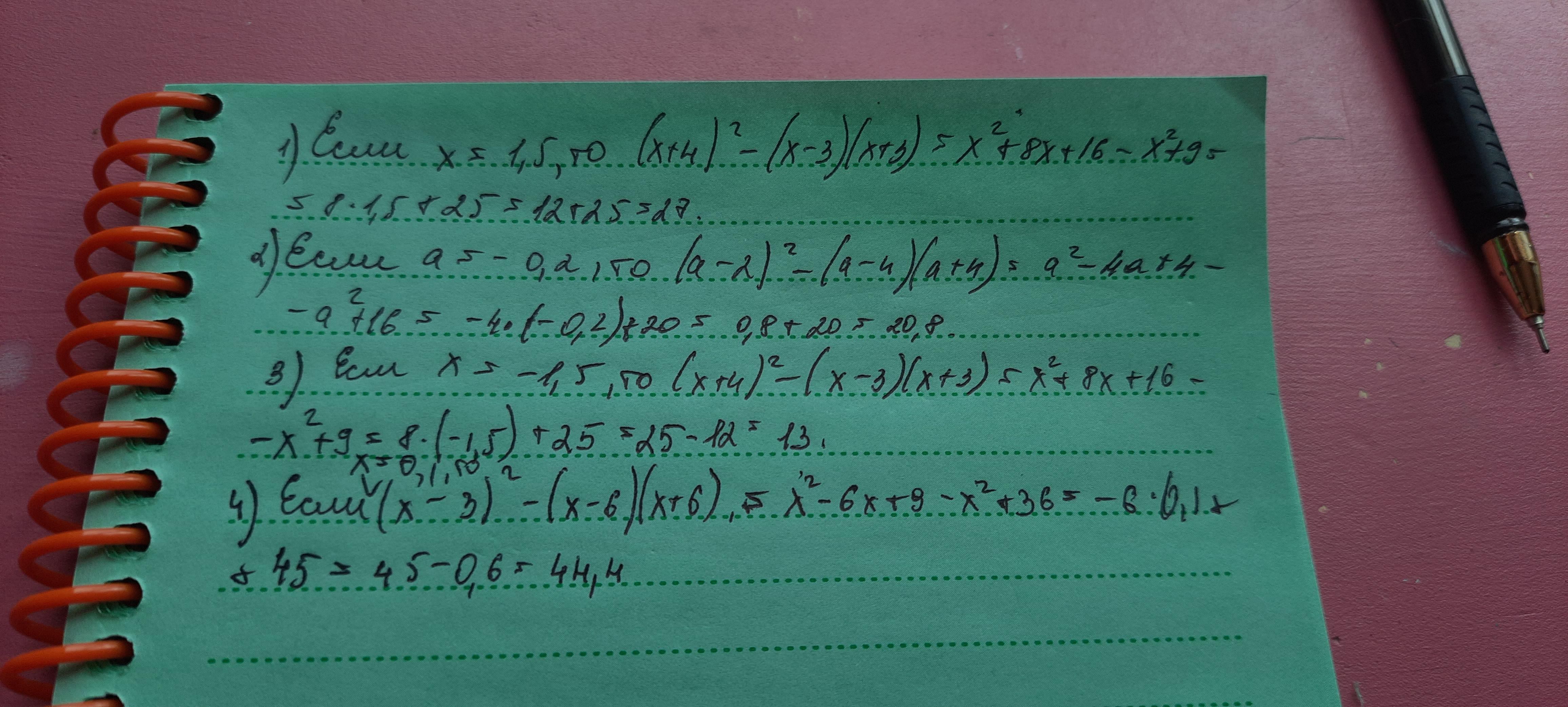
Ответ:
Ну как бы вот
Пошаговое объяснение:
Приложения:
Похожие вопросы
Предмет: Английский язык,
автор: Vahonin81
Предмет: Русский язык,
автор: joker346
Предмет: Русский язык,
автор: Аноним
Предмет: Литература,
автор: Antongriboedov
Предмет: Английский язык,
автор: unaitedgirl