Предмет: Алгебра, автор: dodjdjdo

молю! только, пожалуйста, понятным, русским языком объясните как это решать.. и желательно письменно на бумажке, потому что в символах тут фиг разберёшься... прошу я умираю ​

Приложения:

Ответы

Автор ответа: NNNLLL54
1

Ответ:

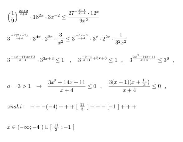
\Big(\dfrac{1}{9}\Big)^{\frac{2x+2}{x+4}}\cdot 18^{2x}\cdot 3x^{-2}\leq \dfrac{27^{-\frac{x+1}{x+4}}\cdot 12^{x}}{9x^2}\ \ ,\ \ \ \ ODZ:\ x\ne 0\ ,\ x\ne -4\ ,\\\\\\3^{\frac{-2(2x+2)}{x+4}}\cdot 3^{4x}\cdot 2^{2x}\cdot \dfrac{3}{x^2}\leq 3^{\frac{-3x-3}{x+4}}\cdot 3^{x}\cdot 2^{2x}\cdot \dfrac{1}{3^2x^2}\\\\\\3^{\frac{-4x-4+3x+3}{x+4}}\cdot 3^{3x+3}\leq 1\ \ \ ,\ \ \ 3^{\frac{-x-1}{x+4}+3x+3}\leq 1\ \ ,\ \ \ 3^{\frac{3x^2+14x+11}{x+4}}\leq 3^0\ \ ,

a=3>1\ \ \to \ \ \dfrac{3x^2+14x+11}{x+4}\leq 0\ \ ,\ \ \ \dfrac{3(x+1)(x+\frac{11}{3})}{x+4}\leq 0\ \ ,\\\\\\znaki:\ \ ---(-4)+++[\ \frac{11}{3}\ ]---[-1\ ]+++\\\\\\x\in (-\infty ;-4\ )\cup [\ \frac{11}{3}\ ;-1\ ]

Приложения:

dodjdjdo: бог!
Похожие вопросы
Предмет: Окружающий мир, автор: 200320052008