Предмет: Математика,
автор: nigarmammadovha
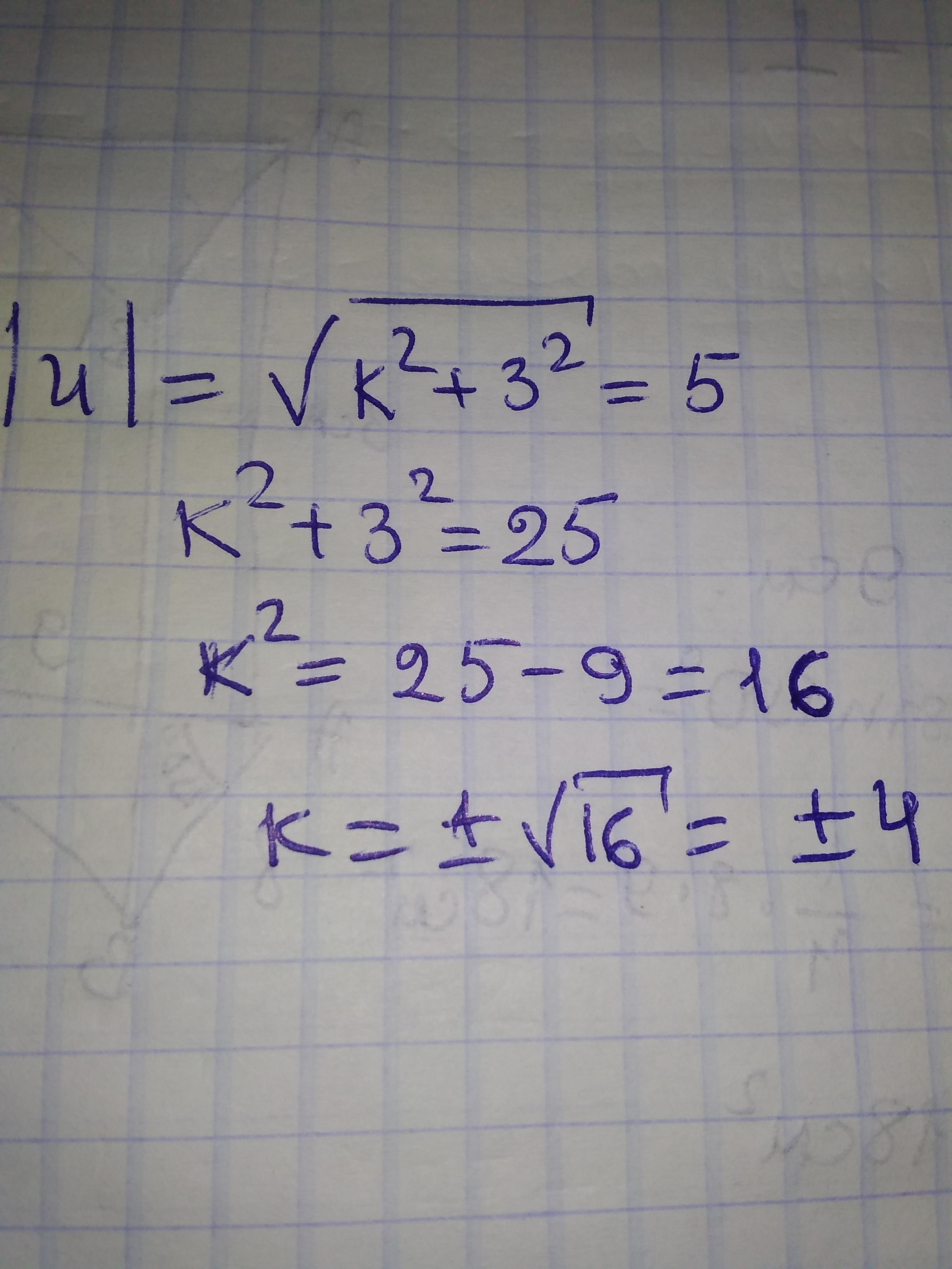
при каких значениях k u = 《k;3》 Равна ли длина вектора 5?
Ответы
Автор ответа:
3
Ответ:
±4
Пошаговое объяснение:
|U|=√(k²+3²)=5
k²+3²=5²
k²=25-9
k²=16
k=±4
afet74:
А в чем люди виноваты), вы можете это писать в дичку
Автор ответа:
0
Ответ:
Пошаговое объяснение: на фото
Приложения:
Похожие вопросы
Предмет: Английский язык,
автор: livinomivia
Предмет: Українська мова,
автор: Амина6996
Предмет: Русский язык,
автор: kursay01
Предмет: Қазақ тiлi,
автор: котик1071