Предмет: Алгебра, автор: Faxrinasriboy12

помогите пожалуйста алгебра​

Приложения:

Ответы

Автор ответа: pogorielovanastia
0

Ответ:

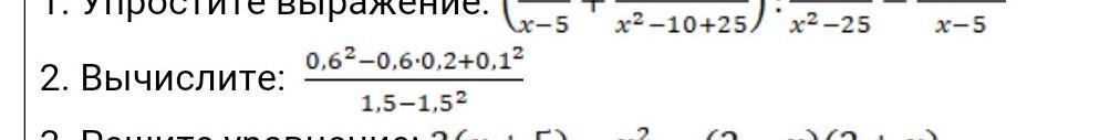
-0,25/0,75

Объяснение:1) 0,36-0,12 + 0,01/1,5 - 2,25

2)0,25/-0,75

Автор ответа: ZlataSergeeva2000
0

Решение:

\dfrac{0.6^2 - 0.6\cdot 0.2+ 0.1^2}{1.5 - 1.5^2} =\dfrac{0.6(0.6 - 0.2)+ 0.1^2}{1.5(1 - 1.5)} =\dfrac{0.6\cdot 0.4 +0.01}{1.5\cdot (-0.5)}= \\ \\=\dfrac{0.24 + 0.01}{-0.75}  =-\dfrac{0.25}{0.75} = -\dfrac{1}{3}

Похожие вопросы
Предмет: Русский язык, автор: мадияр14