Предмет: Алгебра,
автор: Denismalyshev
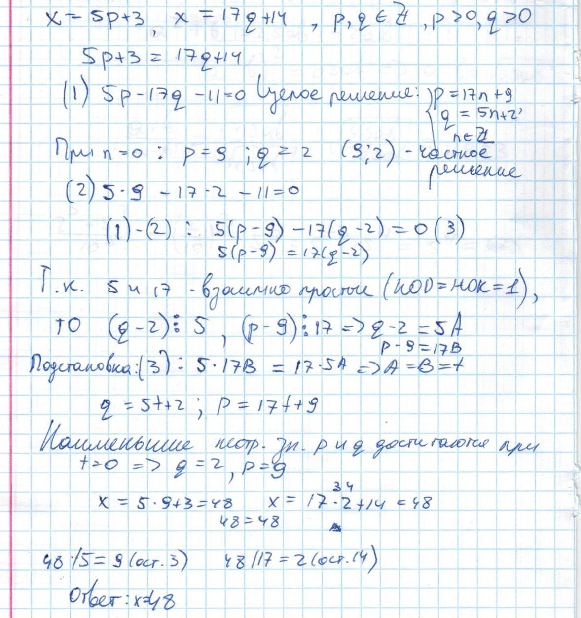
Найдите наименьшее натуральное число x, которое при делении на 5 дает остаток 3, при делении на 17 дает остаток 14.
Ответы
Автор ответа:
1
Ответ:
x=48
Объяснение:
Решение прикреплено фотографией.
Приложения:
Похожие вопросы
Предмет: Русский язык,
автор: увтолтд
Предмет: Русский язык,
автор: vika11112357698
Предмет: Английский язык,
автор: данил9112004
Предмет: Русский язык,
автор: yA000ne0shary
Предмет: Математика,
автор: SAmpovich