Предмет: Физика,
автор: Sinosra
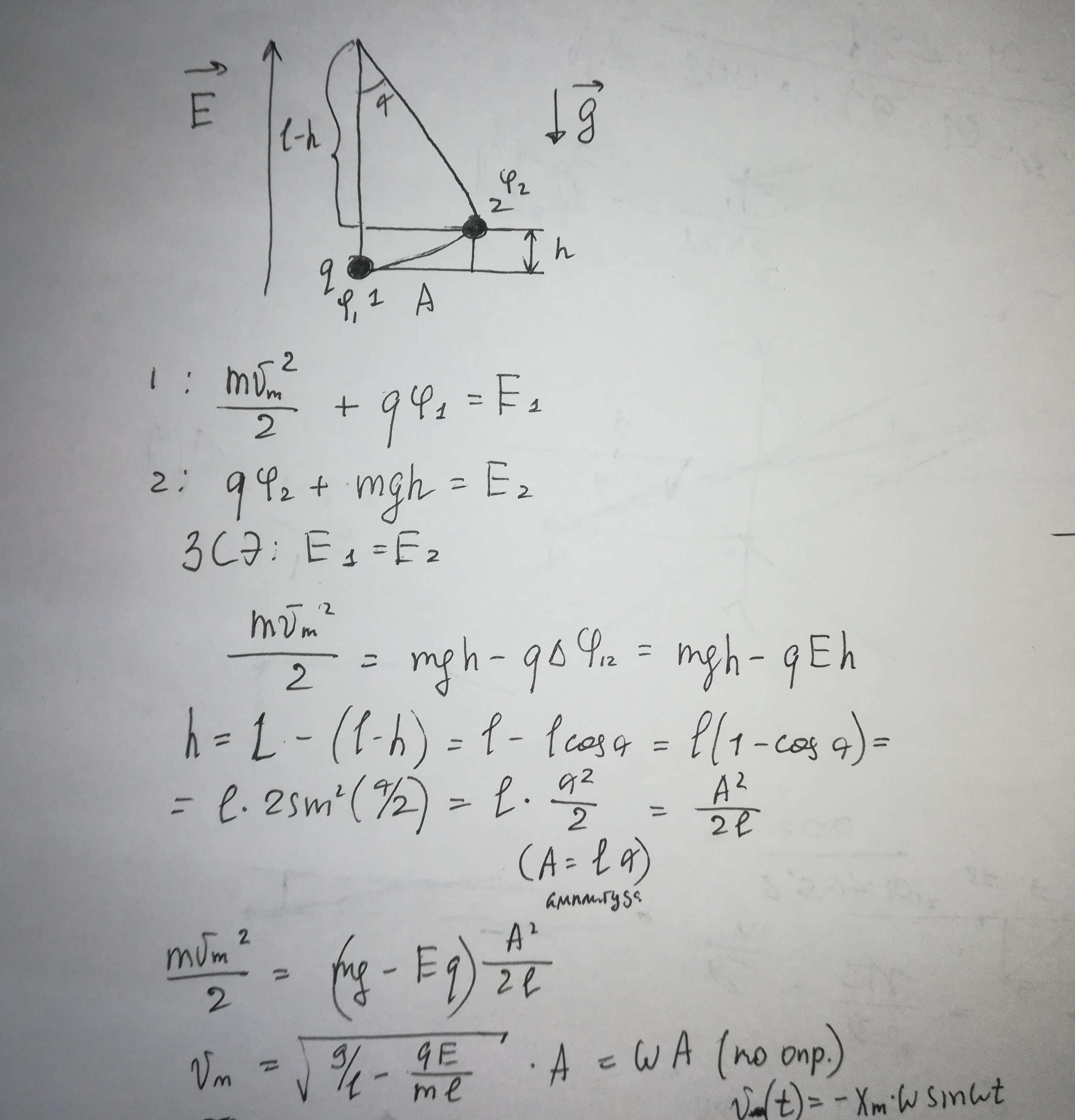
Заряженный шарик массы m, подвешенный на невесомой нити длиной L = 20 см, совершает колебания в однородном электрическом поле с напряженностью E = 1 В/м (линии напряженности направлены вертикально вверх). Если заряд шарика положителен и равен q = 60 мКл, а частота колебаний шарика равна 1 Гц, то масса шарика m равна ... кг.
Приложения:
Ответы
Автор ответа:
1
Решение на фото
Ps: sin(a) = a, потому что угол маленький
Приложения:
Похожие вопросы
Предмет: Русский язык,
автор: asyaMNastya
Предмет: Окружающий мир,
автор: презентациямюл
Предмет: Русский язык,
автор: ник1143
Предмет: Математика,
автор: SashaMashamalinina