Предмет: Геометрия,
автор: yrwwwe1
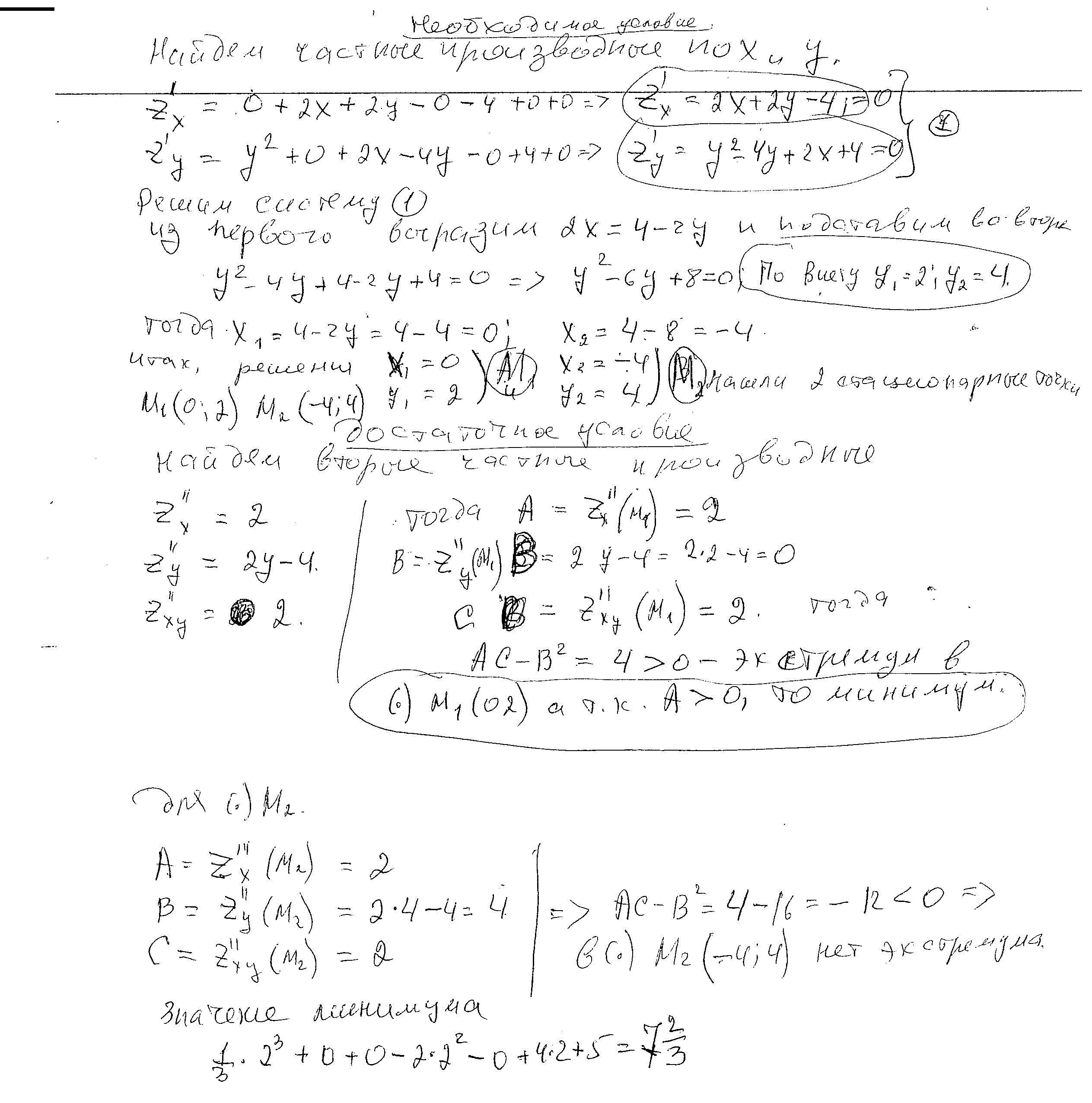
Найдите точки экстремума заданной функции.
Приложения:
Ответы
Автор ответа:
1
Ответ:
Объяснение:
Капитально все подзабыл, так что не обессудьте, если что-то не так. Старался.
Приложения:
yrwwwe1:
Спасибо большое)
Удачи Вам.
Похожие вопросы
Предмет: Русский язык,
автор: zuBadRlenal
Предмет: Французский язык,
автор: КсенияБуклина200312
Предмет: Русский язык,
автор: L0izalizaSany
Предмет: Информатика,
автор: marmelPR
Предмет: Математика,
автор: MilanaFis