Предмет: Математика,
автор: victorhrustalevvicto
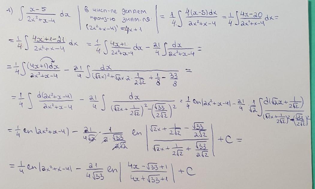
Помогите решить математику.
Приложения:
Ответы
Автор ответа:
1
Ответ:
решение на фотографиях
Приложения:
Похожие вопросы
Предмет: Русский язык,
автор: sguwmjv1
Предмет: Русский язык,
автор: МаришкаГолубь
Предмет: Английский язык,
автор: adilbenrlitom
Предмет: Математика,
автор: ВикторЫя
Предмет: Қазақ тiлi,
автор: alina0987666