Предмет: Алгебра,
автор: Vosskkk
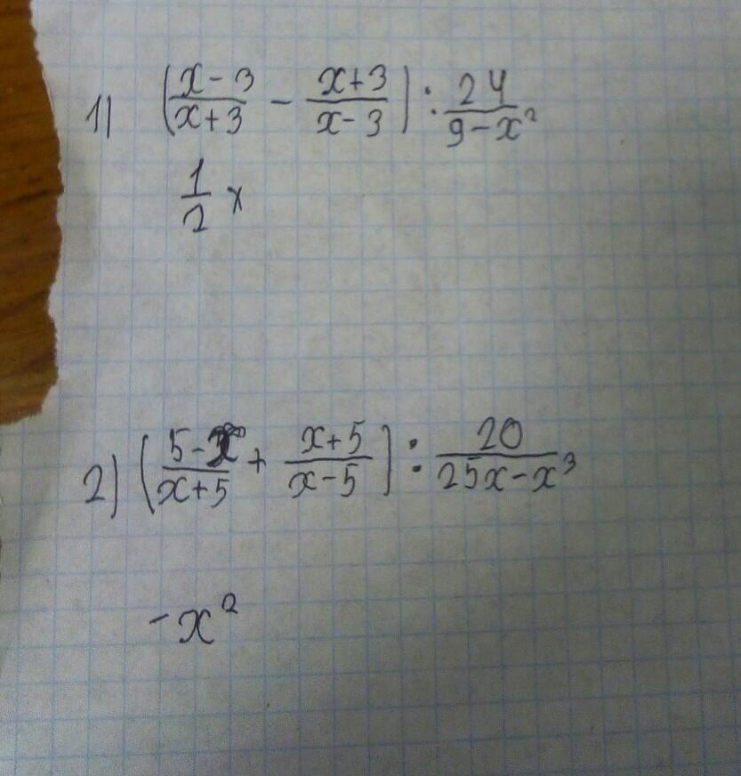
Упростите пожалуйста
Приложения:
Ответы
Автор ответа:
1
Ответ:
----------------------------
Приложения:
Vosskkk:
а решение?
А можеж снова кинуть вопрос я тебе кину ришения
Похожие вопросы
Предмет: Русский язык,
автор: garanina2005
Предмет: Русский язык,
автор: Янулька6
Предмет: Английский язык,
автор: nikayurkova
Предмет: Русский язык,
автор: amalyaaslanyanmailru