Предмет: Алгебра, автор: kyarmakov

Срочно 40 баллов найдите производную !!!

Приложения:

Ответы

Автор ответа: Miroslava227
0

Ответ:

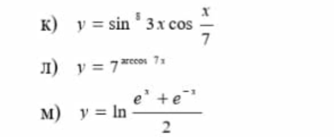
к

y' = 5 \sin {}^{4} (3x)  \times  \cos(3x)   \times 3 \times  \cos( \frac{x}{7} )  -  \sin( \frac{x}{7} )  \times  \frac{1}{7}  \times  \sin {}^{5} (3x)  =  \\  =  \sin {}^{4} (3x)  \times (15 \cos(3x)  \cos( \frac{x}{7}  ) -  \frac{1}{7}  \sin( \frac{x}{7} )  \sin(3x))

л

y' =  ln(7)  \times  {7}^{arccos7x}  \times ( -  \frac{1}{ \sqrt{1 - 49 {x}^{2} } } ) \times 7 =  \\  =  -  \frac{ ln(7)  \times  {7}^{arccos7x + 1} }{ \sqrt{1 - 49 {x}^{2} } }

м

y' =  \frac{1}{ \frac{ {e}^{x} + e {}^{ - x}  }{2} }  \times  \frac{1}{2} ( {e}^{x}  - e {}^{ - x} ) =  \\  =  \frac{2}{ {e}^{x}  + e {}^{ - x} }  \times  \frac{ {e}^{x} - e {}^{ - x}  } {2} =  \frac{ {e}^{x}  -  {e}^{ - x} }{ {e}^{x}  +  {e}^{ - x} }

Похожие вопросы
Предмет: Технология, автор: Аноним