Предмет: Алгебра,
автор: alinaakiseva300
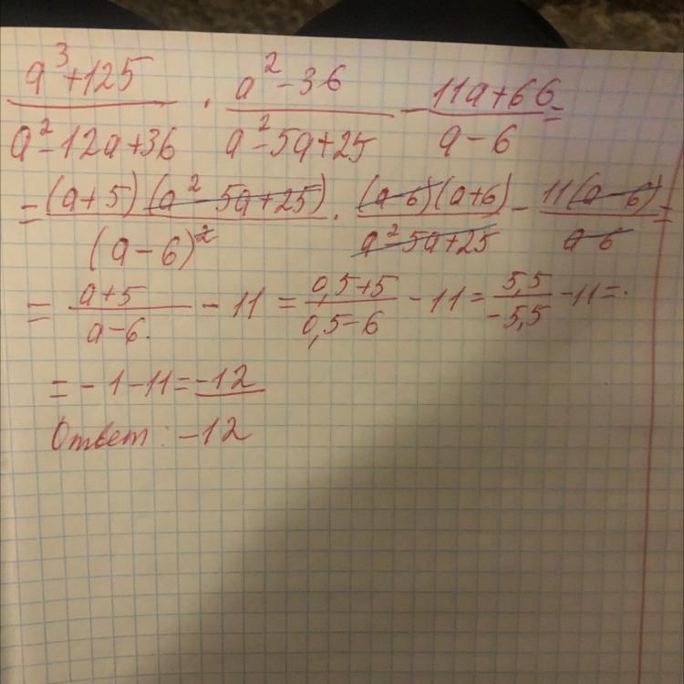
упрастите выражение и найдите его значение при a=1/2
Приложения:
Ответы
Автор ответа:
1
Если все прорешать и сократить, а потом подставить число, то получится 6,5
Ответ: 6,5 (шесть целых пять десятых)
Автор ответа:
1
Решение на фото внизу
Приложения:
Похожие вопросы
Предмет: Русский язык,
автор: amorari
Предмет: Русский язык,
автор: Мила655
Предмет: Русский язык,
автор: aleksandra30012
Предмет: Русский язык,
автор: galeksej440