Предмет: Математика,
автор: anonimusmilashka
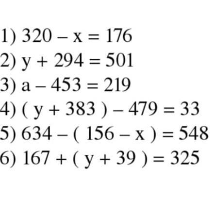
В СТОЛБИК! можете решить и сфоткать на листочке очень надо
Приложения:
Ответы
Автор ответа:
1
Ответ:
давай , удачи
Пошаговое объяснение:
тут что-то напишу
Приложения:
Похожие вопросы
Предмет: Английский язык,
автор: TanyaCet
Предмет: Английский язык,
автор: Talarans
Предмет: Українська мова,
автор: kuzyalm
Предмет: Математика,
автор: Veronikaru