Предмет: Математика,
автор: hypedanchik0
помогите пожалуйста с заданием.Буду очень благодарен.
Приложения:
Ответы
Автор ответа:
1
Відповідь:
Покрокове пояснення:
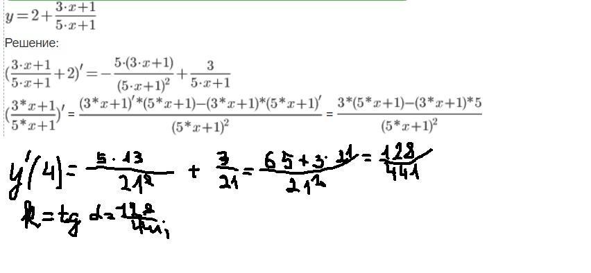
Геометричний зміст похідної. Значення похідної в точці x0 дорівнює тангенсу кута нахилу дотичної до графіка функції в точці з абсцисою x0 і дорівнює кутовому коефіцієнту цієї дотичної.
Фізичний зміст похідної. Похідна характеризує швидкість зміни функції при зміні аргументу. Похідна від функції, що виражає залежність пройденого шляху S від часу t є миттєвою швидкістю v.
Приложения:
Похожие вопросы
Предмет: Русский язык,
автор: Аноним
Предмет: Русский язык,
автор: 9069424806
Предмет: Русский язык,
автор: 34657892145ап
Предмет: Химия,
автор: corolla1235