Предмет: Алгебра,
автор: ministreliyalaz2007
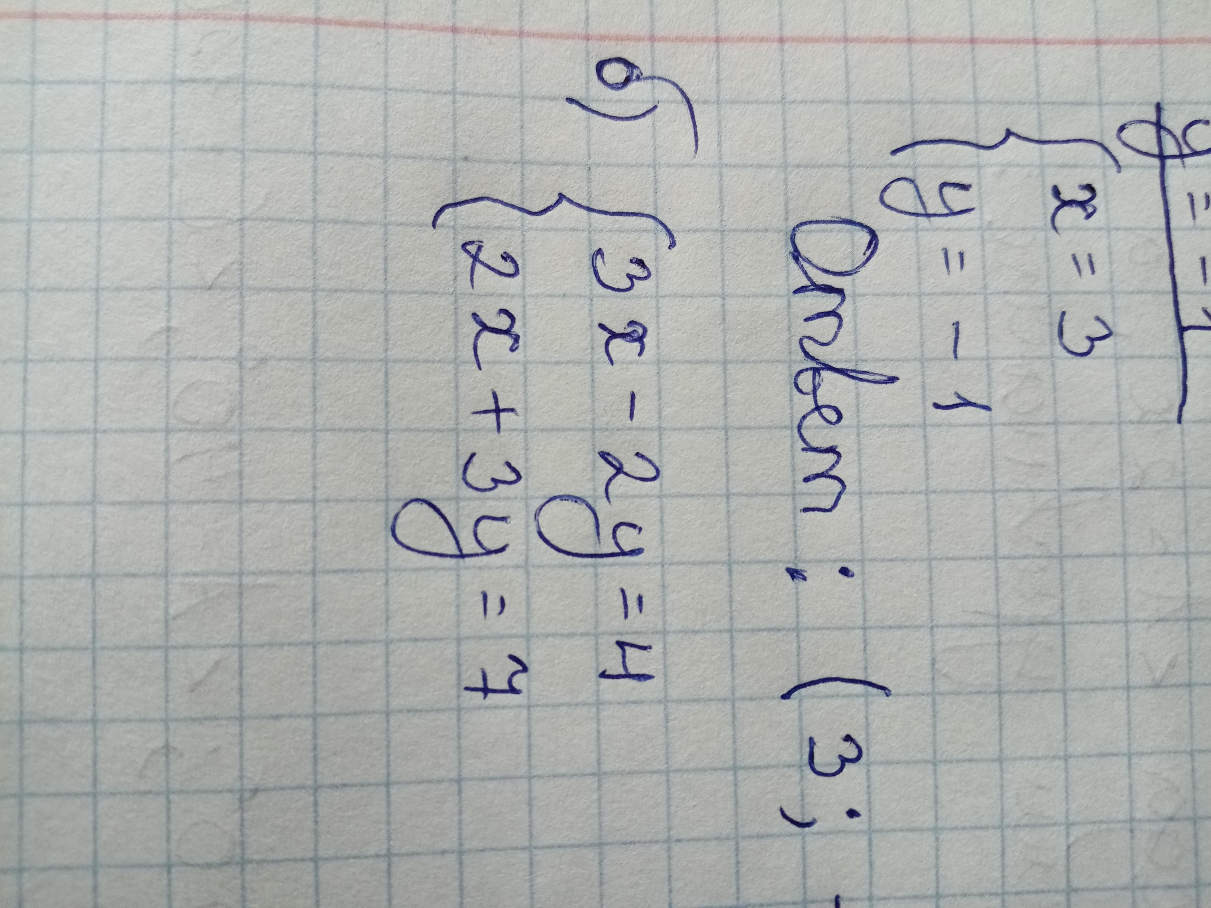
Решите систему уравнений
Приложения:
Ответы
Автор ответа:
1
Ответ:
2 ; 1
Объяснение:
3х-2у=4 + 5х+у=11 у=11-5х
2х+3у=7
2х+3(11-5х)=7
2х+33-15х=7
-13х=-26
х=2 у=11-10 у=1
Похожие вопросы
Предмет: Русский язык,
автор: 5555501
Предмет: Окружающий мир,
автор: danilsmirnov333ru
Предмет: Русский язык,
автор: polina042008
Предмет: Английский язык,
автор: anet0101
Предмет: Биология,
автор: FallenMC