Предмет: Алгебра, автор: sabluda16091996

срочно 50 баллов нужно упростить

Приложения:

Ответы

Автор ответа: m11m
1

Ответ:

Объяснение:

!!!!!!!!!!!!!!!!!!!!!!

Приложения:

master920: помогите пожалуйста
Автор ответа: NNNLLL54
0

Ответ:

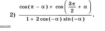
\dfrac{cos(\pi -a)+cos(\frac{3\pi}{2}+a)}{1+2cos(-a)\cdot sin(-a)}=\dfrac{-\sqrt2\cdot cos(\frac{\pi}{4}+a)}{1-sin2a}=-\dfrac{\sqrt2\cdot cos(\frac{\pi}{4}+a)}{1-cos(\frac{\pi}{2}-2a)}=\\\\\\=-\dfrac{\sqrt2\cdot cos(\frac{\pi}{4}+a)}{2sin^2(\frac{\pi}{4}-a)}=-\dfrac{\sqrt2\cdot sin(\frac{\pi}{4}-a)}{2\cdot sin^2(\frac{\pi}{4}-a)}=-\dfrac{\sqrt2}{2\cdot sin(\frac{\pi}{4}-a)}

\star \ \ cos(\pi -a)+cos(\frac{3\pi}{2}+a)=2\cdot cos\dfrac{\pi -a+\frac{3\pi}{2}+a}{2}\cdot cos\dfrac{\pi -a-\frac{3\pi}{2}-a}{2}=\\\\=2\cdot cos\frac{5\pi }{4}\cdot cos(-\frac{\pi}{4}-a)=-2\cdot \dfrac{\sqrt2}{2}\cdot cos(\frac{\pi}{4}+a)=-\sqrt2\cdot cos(\frac{\pi}{4}+a)\ \ \star


master920: здравствуйте, нужно ваша помощь
Похожие вопросы
Предмет: Математика, автор: rigaya2904p5w6zv