Предмет: Математика,
автор: ulafalkovska
Обчисліть інтеграл, терміново!
Приложения:
Ответы
Автор ответа:
1
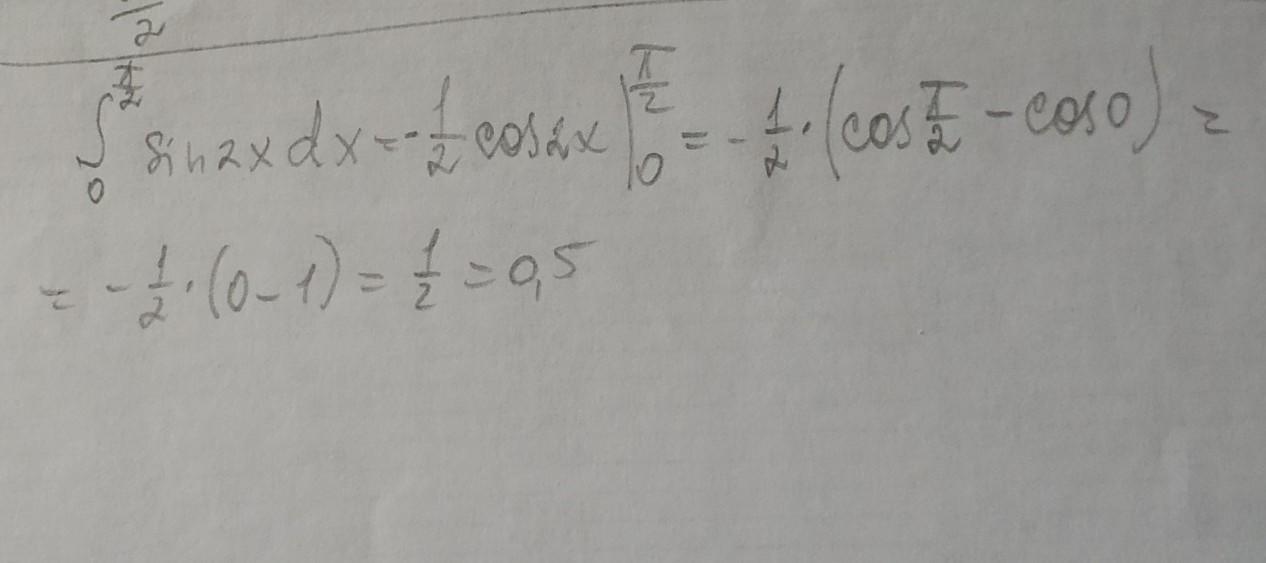
Ответ:
= 0,5
Пошаговое объяснение:
решение во вложении
Приложения:
Похожие вопросы
Предмет: Русский язык,
автор: odeo4ka
Предмет: Другие предметы,
автор: Лиза200331
Предмет: Русский язык,
автор: 2а0ё0я3
Предмет: Математика,
автор: MrKwippi
Предмет: Математика,
автор: Аноним