Предмет: Математика,
автор: Hdhdbc54649
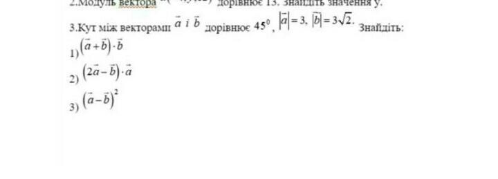
Помогите пожалуйста,нужно очень срочно!!!!!!
Приложения:
Ответы
Автор ответа:
0
Ответ:
Пошаговое объяснение:
Если что-то будет не понятно пиши
Приложения:
Похожие вопросы
Предмет: Русский язык,
автор: vbasovskiy
Предмет: Русский язык,
автор: nberner
Предмет: Окружающий мир,
автор: 1201120356
Предмет: Математика,
автор: МояИрискаМоя
Предмет: История,
автор: Anezka78