Предмет: Математика,
автор: valenta713
помогите пожалуйста очень срочно нужно сдать через 5 минут
Приложения:
Ответы
Автор ответа:
1
Ответ:
Пошаговое объяснение:
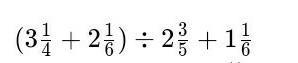
1) 3. 1/4 + 2. 1/6 =
3. 3/12 + 2. 2/12 = 5. 5/12
2) 5. 5/12 : 2. 3/5 =
65/12 : 13/5 = 65/12 * 5/13 = 5/12 * 5/1 = 25/12 = 2. 1/12
3) 2. 1/12 + 1. 1/6 =
2. 1/12 + 1. 2/12 =
3. 3/12 = 3. 1/4
Похожие вопросы
Предмет: Қазақ тiлi,
автор: alinakirillova
Предмет: Русский язык,
автор: принцесса114
Предмет: Русский язык,
автор: HGHHHGHHHG333
Предмет: Математика,
автор: камила547
Предмет: Психология,
автор: Лияэ