Предмет: Математика,
автор: denismaslov
помогите решить пожалуйста
Приложения:
Ответы
Автор ответа:
0
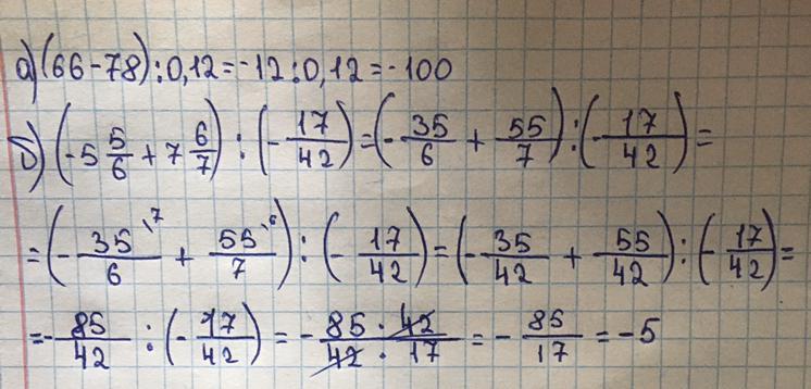
Ответ:
-12:0,12= -100
-35/6+55/7= -35*7+55*6/56=85/56
85/56:(-17/42)= -85*42/56*17= -5*6/8=-30/8= -15/4= -3,75
Автор ответа:
1
надеюсь понятно.
. . . . . . . . . .
. . . . . . . . . .
Приложения:
denismaslov:
спасибо
всё понятно
хорошо, я рада.
Похожие вопросы
Предмет: Русский язык,
автор: vuanha
Предмет: Другие предметы,
автор: Богдан2341
Предмет: Русский язык,
автор: катя409
Предмет: Математика,
автор: Unicorn000777
Предмет: Русский язык,
автор: alina20112005