Предмет: Математика,
автор: strockaaksenia40
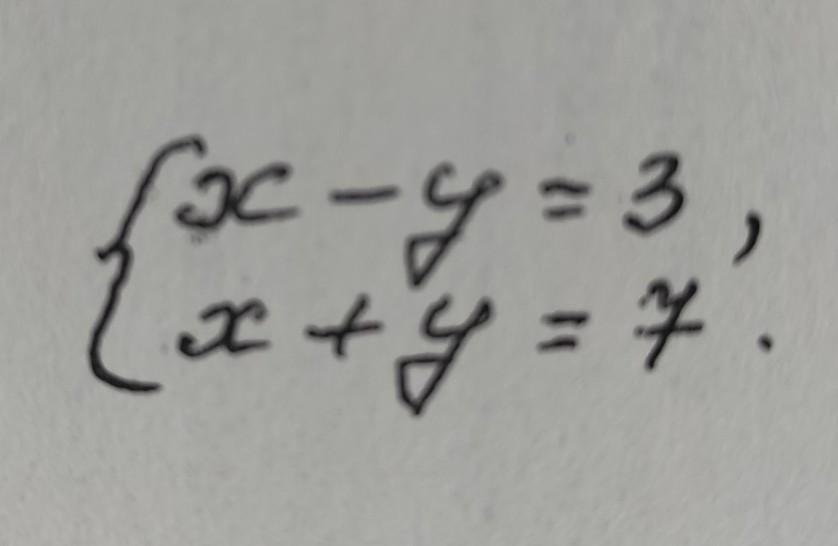
решите способом сложения систему
Приложения:
Ответы
Автор ответа:
1
Делаем сложение:
х+х-у+у=3+7
2х=10
х=5
Подставляем значение "х" в любое из уравнений системы:
х-у=3
5-у=3
у=2.
Ответ: х=5; у=2.
Похожие вопросы
Предмет: Английский язык,
автор: Vitalinau
Предмет: Русский язык,
автор: Аноним
Предмет: Қазақ тiлi,
автор: alibekkireev
Предмет: Геометрия,
автор: 777vagner777
Предмет: Русский язык,
автор: амина782