Предмет: Алгебра,
автор: sarlottagerman
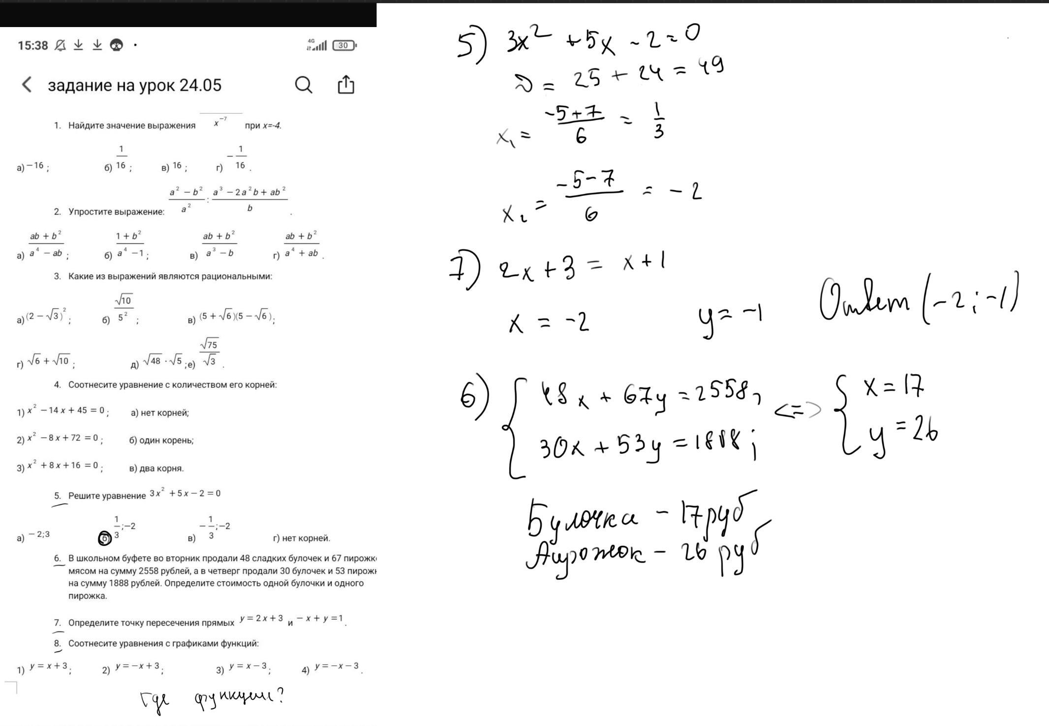
Ребят, помгите решить 2 6 7 8 задачу
Приложения:
Ответы
Автор ответа:
0
Ответ:
давай больше баллов и класс переставь на 5-9
в 8 нет графиков
Объяснение:
Приложения:
Похожие вопросы
Предмет: Окружающий мир,
автор: kamil1233211
Предмет: Другие предметы,
автор: К1О1Ш1К1А1
Предмет: Русский язык,
автор: edchermenin
Предмет: Қазақ тiлi,
автор: Лера213456
Предмет: Математика,
автор: svetlanaGB